Exhibit 10.2
 
 
LOAN AGREEMENT
Dated as of November 1, 2004
Between
CEDAR-FRANKLIN VILLAGE LLC,
as Borrower
and
EUROHYPO AG, NEW YORK BRANCH,
as Lender
 
 

 


 

TABLE OF CONTENTS
             
        Page
 
           
I. DEFINITIONS; PRINCIPLES OF CONSTRUCTION     1  
 
           
Section 1.1
  Definitions     1  
Section 1.2
  Principles of Construction     16  
 
           
II. THE LOAN     16  
 
           
Section 2.1
  The Loan     16  
2.1.1
  Agreement to Lend and Borrow     16  
2.1.2
  Single Disbursement to Borrower     17  
2.1.3
  The Note     17  
2.1.4
  Use of Proceeds     17  
Section 2.2
  Interest Rate     17  
2.2.1
  Interest Rate     17  
2.2.2
  Intentionally Omitted     17  
2.2.3
  Default Rate     17  
2.2.4
  Interest Calculation     17  
2.2.5
  Usury Savings     17  
Section 2.3
  Loan Payments     18  
2.3.1
  Payment Before Maturity Date     18  
2.3.2
  Intentionally Omitted     18  
2.3.3
  Payment on Maturity Date     18  
2.3.4
  Late Payment Charge     18  
2.3.5
  Method and Place of Payment     18  
Section 2.4
  Prepayments     19  
2.4.1
  Voluntary Prepayments     19  
2.4.2
  Mandatory Prepayments     19  
2.4.3
  Prepayments After Default     19  
Section 2.5
  Defeasance     19  
2.5.1
  Total Defeasance     19  
2.5.2
  Partial Defeasance     21  
2.5.3
  Defeasance Collateral Account     24  
2.5.4
  Successor Borrower     24  
Section 2.6
  Foreign Lenders     25  
 
           
III. REPRESENTATIONS AND WARRANTIES     26  
 
           
Section 3.1
  Borrower Representations     26  
3.1.1
  Organization     26  
3.1.2
  Proceedings     26  
3.1.3
  No Conflicts     26  

-i-


 

             
        Page
 
3.1.4
  Litigation     27  
3.1.5
  Agreements     27  
3.1.6
  Consents     27  
3.1.7
  Title     27  
3.1.8
  No Plan Assets     27  
3.1.9
  Compliance     27  
3.1.10
  Financial Information     28  
3.1.11
  Condemnation     28  
3.1.12
  Utilities and Public Access     28  
3.1.13
  Separate Lots     28  
3.1.14
  Assessments     28  
3.1.15
  No Defenses     28  
3.1.16
  Assignment of Leases     28  
3.1.17
  Insurance     29  
3.1.18
  Licenses     29  
3.1.19
  Flood Zone     29  
3.1.20
  Physical Condition     29  
3.1.21
  Boundaries     29  
3.1.22
  Leases     29  
3.1.23
  Filing and Recording Taxes     30  
3.1.24
  Single Purpose     30  
3.1.25
  Tax Filings     33  
3.1.26
  Solvency     34  
3.1.27
  Federal Reserve Regulations     34  
3.1.28
  Organizational Chart     34  
3.1.29
  Investment Company Act     34  
3.1.30
  Access/Utilities     34  
3.1.31
  No Bankruptcy Filing     35  
3.1.32
  Full and Accurate Disclosure     35  
3.1.33
  Foreign Person     35  
3.1.34
  No Change in Facts or Circumstances; Disclosure     35  
3.1.35
  Perfection of Accounts     35  
3.1.36
  Intentionally Omitted     36  
3.1.37
  Intentionally Omitted     36  
3.1.38
  Patriot Act     36  
Section 3.2
  Survival of Representations     36  
 
           
IV. BORROWER COVENANTS     36  
 
           
Section 4.1
  Borrower Affirmative Covenants     36  
4.1.1
  Existence; Compliance with Legal Requirements     36  
4.1.2
  Taxes and Other Charges     36  
4.1.3
  Litigation     37  
4.1.4
  Access to Property     37  
4.1.5
  Intentionally Omitted     37  
4.1.6
  Financial Reporting     37  

-ii-


 

             
        Page
 
4.1.7
  Title to the Property     39  
4.1.8
  Estoppel Statement     39  
4.1.9
  Leases     40  
4.1.10
  Alterations     41  
4.1.11
  Intentionally Omitted     41  
4.1.12
  Material Agreements     42  
4.1.13
  Performance by Borrower     42  
4.1.14
  Intentionally Omitted     42  
4.1.15
  Business and Operations     42  
4.1.16
  Loan Fees     42  
4.1.17
  Intentionally Omitted     42  
4.1.18
  Handicapped Access     42  
4.1.19
  Intentionally Omitted     43  
4.1.20
  Notice of Certain Events     43  
4.1.21
  Further Assurances     43  
4.1.22
  Taxes on Security     43  
4.1.23
  Stop and Shop Estoppel     44  
Section 4.2
  Borrower Negative Covenants     44  
4.2.1
  Liens     44  
4.2.2
  Dissolution     44  
4.2.3
  Debt Cancellation     44  
4.2.4
  Zoning     44  
4.2.5
  No Joint Assessment     44  
4.2.6
  Principal Place of Business     45  
4.2.7
  ERISA     45  
4.2.8
  Material Agreements     45  
4.2.9
  Intentionally Deleted     45  
4.2.10
  Intentionally Omitted     45  
 
           
V. INSURANCE, CASUALTY AND CONDEMNATION     46  
 
           
Section 5.1
  Insurance     46  
5.1.1
  Insurance Policies     46  
5.1.2
  Insurance Company     50  
Section 5.2
  Casualty and Condemnation     50  
5.2.1
  Casualty     50  
5.2.2
  Condemnation     50  
5.2.3
  Casualty Proceeds     51  
Section 5.3
  Delivery of Net Proceeds     51  
5.3.1
  Minor Casualty or Condemnation     51  
5.3.2
  Major Casualty or Condemnation     51  
 
           
VI. RESERVE FUNDS     55  
 
           
Section 6.1
  Required Repair Funds     55  
6.1.1
  Deposit of Required Repair Funds     55  

-iii-


 

             
        Page
 
6.1.2
  Release of Required Repair Funds     55  
Section 6.2
  Tax Funds     56  
6.2.1
  Deposits of Tax Funds     56  
6.2.2
  Release of Tax Funds     56  
Section 6.3
  Insurance Funds     56  
6.3.1
  Deposits of Insurance Funds     56  
6.3.2
  Release of Insurance Funds     56  
Section 6.4
  Capital Expenditure Funds     57  
6.4.1
  Deposits of Capital Expenditure Funds     57  
6.4.2
  Release of Capital Expenditure Funds     57  
Section 6.5
  Rollover Funds     58  
6.5.1
  Deposits of Rollover Funds     58  
6.5.2
  Release of Rollover Funds     58  
Section 6.6
  Intentionally Deleted     59  
Section 6.7
  Security Interest in Reserve Funds     59  
6.7.1
  Grant of Security Interest     59  
6.7.2
  Interest on Reserve Funds     59  
6.7.3
  Prohibition Against Further Encumbrance     69  
 
           
VII. PROPERTY MANAGEMENT     60  
 
           
Section 7.1
  The Management Agreement     60  
Section 7.2
  Prohibition Against Termination or Modification     60  
Section 7.3
  Replacement of Manager     60  
 
           
VIII. TRANSFERS     61  
 
           
Section 8.1
  Prohibited Transfer or Encumbrance of Property     61  
Section 8.2
  Permitted Transfers     63  
8.2.1
  Permitted Transfer of the Property     63  
8.2.2
  Permitted Transfer of Interest in Borrower     64  
Section 8.3
  Substitute Guarantor     64  
 
           
IX. SALE AND SECURITIZATION OF MORTGAGE     65  
 
           
Section 9.1
  Sale of Mortgage and Securitization     65  
Section 9.2
  Securitization Indemnification     66  
 
           
X. DEFAULTS     68  
 
           
Section 10.1
  Event of Default     68  
Section 10.2
  Remedies     70  
Section 10.3
  Right to Cure Defaults     71  
Section 10.4
  Remedies Cumulative     72  

-iv-


 

             
        Page
 
           
XI. MISCELLANEOUS     72  
 
           
Section 11.1
  Successors and Assigns     72  
Section 11.2
  Lender’s Discretion     72  
Section 11.3
  Governing Law     73  
Section 11.4
  Modification, Waiver in Writing     74  
Section 11.5
  Delay Not a Waiver     74  
Section 11.6
  Notices     75  
Section 11.7
  Trial by Jury     76  
Section 11.8
  Headings     76  
Section 11.9
  Severability     76  
Section 11.10
  Preferences     77  
Section 11.11
  Waiver of Notice     77  
Section 11.12
  Remedies of Borrower     77  
Section 11.13
  Expenses; Indemnity     77  
Section 11.14
  Schedules Incorporated     78  
Section 11.15
  Offsets, Counterclaims and Defenses     78  
Section 11.16
  No Joint Venture or Partnership; No Third Party Beneficiaries     79  
Section 11.17
  Publicity     79  
Section 11.18
  Waiver of Marshalling of Assets     79  
Section 11.19
  Waiver of Offsets/Defenses/Counterclaims     80  
Section 11.20
  Conflict; Construction of Documents; Reliance     80  
Section 11.21
  Brokers and Financial Advisors     80  
Section 11.22
  Exculpation     80  
Section 11.23
  Prior Agreements     83  
Section 11.24
  Servicer     83  
Section 11.25
  Joint and Several Liability     83  
Section 11.26
  Creation of Security Interest     83  
Section 11.27
  Assignments and Participations     84  
Section 11.28
  Set-Off     84  
Section 11.29
  Component Notes     84  
Section 11.30
  Approvals; Third Parties; Conditions     85  
Section 11.31
  Limitation on Liability of Lender’s Officers, Employees, etc.     85  
SCHEDULES
             
Schedule I
    Rent Roll    
Schedule II
    Required Repairs    
Schedule III
    Organizational Chart    
Schedule IV
    Form of Subordination, Non-Disturbance and Attornment Agreement    
Schedule V
    Intentionally Deleted    
Schedule VI
    Description/Diagram of Release Parcel    

-v-


 

LOAN AGREEMENT
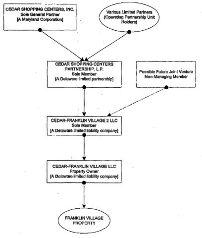
          THIS LOAN AGREEMENT, dated as of November 1, 2004 (as amended, restated, replaced, supplemented or otherwise modified from time to time, this Agreement), between EUROHYPO AG, NEW YORK BRANCH, the New York branch of a German banking corporation, having an address at 1114 Avenue of the Americas, Twenty-Ninth Floor, New York, New York 10036 (together with its permitted successors and assigns, Lender), and CEDAR-FRANKLIN VILLAGE LLC, a Delaware limited liability company, having an address at c/o Cedar Shopping Centers Partnership, L.P., 44 South Bayles Avenue, Suite 304, Port Washington, NY 11050 (together with its permitted successors and assigns borrower).
          All other capitalized terms used herein shall have the respective meanings set forth in Article I hereof.
WITNESSETH:
          WHEREAS, Borrower desires to obtain the Loan from Lender; and
          WHEREAS, Lender is willing to make the Loan to Borrower, subject to and in accordance with the conditions and terms of this Agreement and the other Loan Documents.
          NOW, THEREFORE, in consideration of the covenants set forth in this Agreement, and other good and valuable consideration, the receipt and sufficiency of which are hereby acknowledged, the parties hereto hereby agree, represent and warrant as follows:
          I. DEFINITIONS; PRINCIPLES OF CONSTRUCTION
          Section 1.1 Definitions.
          For all purposes of this Agreement, except as otherwise expressly provided:
          Access Lawsshall have the meaning set forth in Section 4.1.18.
          Additional Collateralshall mean U.S. Obligations, that provide payments on a portion of the Loan in the principal amount of $3,200,000 which are (i) paid on or prior to, but as close as possible to, the Business Day immediately preceding all Monthly Payment Dates and other scheduled payment dates, hereunder and (ii) in amounts equal to the scheduled payments of interest up to and including the Permitted Repayment Date (including, the payment of principal in the amount of $3,200,000.00 on the Permitted Repayment Date), and all other payments, if any, required, under the Loan Documents for servicing fees, and other similar charges.
          Accountsshall have the meaning set forth in Section 3.1.35(a).
          Acquired Property Statementsshall have the meaning set forth in Section 9.1(c)(i).

 


 

          Affiliateshall mean, as to any Person, any other Person that, directly or indirectly, owns more than forty percent (40%) of, is in control of, is controlled by or is under common ownership or control with such Person or is a director or officer of such Person or of an Affiliate of such Person. As used in this definition, the term “control” means the possession, directly or indirectly, of the power to direct or cause the direction of the management, policies or activities of a Person, whether through ownership of voting securities, by contract or otherwise.
          Affiliated Managershall mean any managing agent in which Borrower, Borrower Principal, any SPC Party (if any) or any Affiliate of such Persons has, directly or indirectly, any legal, beneficial or economic interest.
          Agentshall mean PNC Bank, National Association and any successor Eligible Institution thereto.
          Allocated Loan Amountshall mean with respect to the release of the Release Parcel pursuant to Section 2.5.2, $4,785,000.
          ALTAshall mean American Land Title Association, or any successor thereto.
          Alteration Thresholdshall mean an amount equal to five percent (5%) of the original principal amount of the Loan.
          Annual Budgetshall mean the operating and capital budget for the Property setting forth Borrower’s good faith estimate of Gross Income from Operations, Operating Expenses, and Capital Expenditures for the applicable Fiscal Year.
          Approved Property Managershall mean (i) Cedar Shopping Centers Partnership L.P. , a Delaware limited partnership, for so long as that entity is an Affiliate or sole member of Borrower and controlled by Cedar Shopping Centers, Inc., a Maryland corporation or (ii) a reputable and experienced management organization possessing experience in managing properties similar in size, scope and value to the Property, provided that with respect to an Approved Property Manager under clause (ii), (A) prior to a Securitization, Borrower shall have obtained the prior written consent of Lender for such entity, which consent shall not be unreasonably withheld and (B) after a Securitization, Borrower shall have obtained prior written confirmation from the Rating Agencies that management of the Property by such entity will not, in and of itself, cause a downgrade, withdrawal or qualification of the then current ratings of the Securities issued pursuant to the Securitization.
          Assignment of Leasesshall mean that certain first priority Assignment of Leases and Rents, dated as of the date hereof, from Borrower, as assignor, to Lender, as assignee, as the same may be amended, restated, replaced, supplemented or otherwise modified from time to time.
          Assignment of Management Agreementshall mean that certain Assignment of Management Agreement and Subordination of Management Fees dated the date hereof among Borrower, Manager and Lender, as the same may be amended, restated, replaced, supplemented or otherwise modified from time to time.

-2-


 

          Awardshall mean any compensation paid by any Governmental Authority in connection with a Condemnation in respect of all or any part of the Property.
          Bankruptcy Codeshall mean Title 11 of the United States Code entitled “Bankruptcy”, as amended from time to time, and any successor statute or statutes and all rules and regulations from time to time promulgated thereunder, and any comparable foreign laws relating to bankruptcy, insolvency or creditors’ rights.
          Basic Carrying Costsshall mean the sum of the following costs associated with the Property for the relevant Fiscal Year or payment period: (i) Taxes and (ii) Insurance Premiums.
          Borrower Principalshall mean Cedar Shopping Centers Partnership, L.P.
          Business Dayshall mean any day other than a Saturday, a Sunday or a legal holiday on which national banks are not open for general business in (i) the State of New York, (ii) the state where the corporate trust office of the Trustee is located, or (iii) the state where the servicing offices of the Servicer are located.
          Capital Expendituresfor any period shall mean amounts expended for replacements and alterations to the Property and required to be capitalized according to GAAP.
          Capital Expenditure Fundsshall have the meaning set forth in Section 6.4.1.
          Capital Expenditures Workshall mean any labor performed or materials installed in connection with any Capital Expenditure.
          Cash Management Agreementshall mean that certain Cash Management Agreement of even date herewith among Lender, Borrower, Manager and Agent.
          Casualtyshall mean the occurrence of any casualty, damage or injury, by fire or otherwise, to the Property or any part thereof.
          Casualty Consultantshall have the meaning set forth in Section 5.3.2(c).
          Casualty Retainageshall have the meaning set forth in Section 5.3.2(d).
          Closing Dateshall mean the date of funding the Loan.
          Codeshall mean the Internal Revenue Code of 1986, as amended, and as it may be further amended from time to time, any successor statutes thereto, and applicable U.S. Department of Treasury regulations issued pursuant thereto in temporary or final form.
          Condemnationshall mean a temporary or permanent taking by any Governmental Authority as the result or in lieu or in anticipation of the exercise of the right of condemnation or eminent domain, of all or any part of the Property, or any interest therein or right accruing thereto, including any right of access thereto or any change of grade affecting the Property or any part thereof.

-3-


 

          Controlshall mean the power to direct the management and policies of a Restricted Party, directly or indirectly, whether through the ownership of voting securities or other beneficial interests, by contract or otherwise.
          Debtshall mean the outstanding principal amount of the Loan together with all interest accrued and unpaid thereon and all other sums (including the Yield Maintenance Premium) due to Lender in respect of the Loan under the Note, this Agreement, the Mortgage, the Environmental Indemnity or any other Loan Document.
          Debt Serviceshall mean, with respect to any particular period of time, scheduled interest payments under the Note.
          Debt Service Coverage Ratioshall mean a ratio for the applicable period in which:
     (i) the numerator is the Net Cash Flow for such period as set forth in the financial statements required in accordance with this Agreement; and
     (ii) the denominator is the Debt Service due for such period.
          Defaultshall mean the occurrence of any event hereunder or under any other Loan Document which, but for the giving of notice or passage of time, or both, would be an Event of Default.
          Default Rateshall mean, with respect to the Loan, a rate per annum equal to the lesser of (i) the maximum rate permitted by applicable law, or (ii) five percent (5%) above the Interest Rate.
          Defeasance Collateralshall mean the Total Defeasance Collateral or the Partial Defeasance Collateral, as the case may be.
          Defeasance Collateral Accountshall have the meaning set forth in Section 2.5.3.
          Defeasance Dateshall mean the Total Defeasance Date or the Partial Defeasance Date, as the case may be.
          Defeasance Eventshall mean a Total Defeasance Event or a Partial Defeasance Event, as the case may be.
          Defeased Noteshall have the meaning set forth in Section 2.5.2(a)(iv) hereof.
          Disclosure Documentshall have the meaning set forth in Section 9.2(a).
          Disclosure Document Dateshall have the meaning set forth in Section 9.1(c)(iv).

-4-


 

          Eligible Accountshall mean a separate and identifiable account from all other funds held by the holding institution that is either (i) an account or accounts maintained with a federal or state-chartered depository institution or trust company which complies with the definition of Eligible Institution or (ii) a segregated trust account or accounts maintained with a federal or state chartered depository institution or trust company acting in its fiduciary capacity which, in the case of a state chartered depository institution or trust company is subject to regulations substantially similar to 12 C.F.R. § 9.10(b), having in either case a combined capital and surplus of at least $50,000,000.00.00 and subject to supervision or examination by federal and state authority. An Eligible Account will not be evidenced by a certificate of deposit, passbook or other instrument.
          Eligible Institutionshall mean a depository institution or trust company insured by the Federal Deposit Insurance Corporation the short term unsecured debt obligations or commercial paper of which are rated at least A-1 by S&P and having at least the equivalent rating from one of the two other Rating Agencies in the case of accounts in which funds are held for thirty (30) days or less or, in the case of Letters of Credit or accounts in which funds are held for more than thirty (30) days, the long term unsecured debt obligations of which are rated at least “AA” by Fitch and S&P and “Aa2” by Moody’s.
          Environmental Indemnityshall mean that certain Environmental Indemnity Agreement, dated as of the date hereof, executed by Borrower and Guarantor in connection with the Loan for the benefit of Lender.
          Equipmentshall have the meaning set forth in the granting clause of the Mortgage.
          ERISAshall have the meaning set forth in Section 4.2.7.
          Event of Defaultshall have the meaning set forth in Section 10.1.
          Exchange Actshall have the meaning set forth in Section 9.2(a).
          Exchange Act Filingshall have the meaning set forth in Section 9.1(c)(vii).
          Executive Ordershall have the meaning set forth in the definition of “Prohibited Person”.
          Exxon Remediationshall mean those certain remediation efforts at the Property made or to be made by Exxon Mobil in connection with a petroleum release from an underground storage tank located on the Property, which remediation efforts include that certain Phase III Remedial Action Plan and that certain Phase VI Remedy Implementation Plan developed by Groundwater & Environmental Services, Inc. in accordance with Environmental Law as enforced by the New Jersey Department of Environmental Protection.
          Fiscal Yearshall mean each twelve month period commencing on January 1 and ending on December 31 during each year of the term of the Loan.
          Fitchshall mean Fitch, Inc. and its successors.

-5-


 

          GAAPshall mean generally accepted accounting principles set forth in the opinions and pronouncements of the Accounting Principles Board and the American Institute of Certified Public Accountants and statements and pronouncements of the Financial Accounting Standards Board (or agencies with similar functions of comparable stature and authority within the accounting profession), or in such other statements by such entity as may be in general use by significant segments of the U.S. accounting profession.
          Governmental Authorityshall mean any court, board, agency, commission, office or authority of any nature whatsoever or any governmental unit (federal, state, county, district, municipal, city or otherwise) whether now or hereafter in existence.
          Gross Income from Operationsshall mean, for any period, all income, computed in accordance with GAAP, derived from the ownership and operation of the Property from whatever source during such period, including, but not limited to, Rents, utility charges, escalations, forfeited security deposits, interest on credit accounts, service fees or charges, license fees, parking fees, rent concessions or credits, and other pass-through or reimbursements paid by tenants under the Leases of any nature but excluding Rents from month-to-month tenants or tenants that are debtors in any proceeding under the Bankruptcy Code, sales, use and occupancy or other taxes on receipts required to be accounted for by Borrower to any Governmental Authority, refunds and uncollectible accounts, sales of furniture, fixtures and equipment, Net Proceeds (other than business interruption or other loss of income insurance), and any disbursements to Borrower from the Tax Funds, Insurance Funds, the Capital Expenditure Funds, the Rollover Funds, or any other escrow fund established by the Loan Documents.
          Guarantiesshall have the meaning set forth in Section 8.3 hereof.
          Guarantorshall mean Cedar Shopping Centers Partnership, L.P.
          Guarantyshall mean that certain Guaranty of even date herewith from Guarantor for the benefit of Lender.
          Improvementsshall have the meaning set forth in the granting clause of the Mortgage.
          Indebtednessshall mean, for any Person, without duplication: (i) all indebtedness of such Person for borrowed money, for amounts drawn under a letter of credit, or for the deferred purchase price of property for which such Person or its assets is liable, (ii) all unfunded amounts under a loan agreement, letter of credit, or other credit facility for which such Person would be liable if such amounts were advanced thereunder, (iii) all amounts required to be paid by such Person as a guaranteed payment to partners or a preferred or special dividend, including any mandatory redemption of shares or interests, (iv) all indebtedness guaranteed by such Person, directly or indirectly, (v) all obligations under leases that constitute capital leases for which such Person is liable, and (vi) all obligations of such Person under interest rate swaps, caps, floors, collars and other interest hedge agreements, in each case whether such Person is liable contingently or otherwise, as obligor, guarantor or otherwise, or in respect of which obligations such Person otherwise assures a creditor against loss.

-6-


 

          I&G Fundsshall mean the constituent entities (and their wholly owned subsidiaries) from time to time of the fund marketed as the “J.P. Morgan U.S. Real Estate Income and Growth Fund,” of which JPMorgan Investment Management Inc. (or JPMorgan Chase Bank, or any of their affiliates) and/or their successors and assigns is the investment advisor and, as of the date hereof includes, without limitation, JPM I&G Domestic REIT, Inc., J.P. Morgan U.S. Real Estate Income and Growth Direct, LP, J.P. Morgan U.S. Real Estate Income and Growth Corp. (Cayman), J.P. Morgan U.S. Real Estate Income and Growth Finance Corp (Cayman), J.P. Morgan U.S. Real Estate Income and Growth Investment Corp (Cayman), J.P. Morgan U.S. Real Estate Income and Growth GmBH & Co. KG, and J.P. Morgan U.S. Real Estate and Growth Domestic, LP.
          Indemnified Liabilitiesshall have the meaning set forth in Section 11.13(b).
          Independent Directorshall have the meaning set forth in Section 3.1.24(p).
          Interest Rateshall mean a rate per annum equal to four and eighty-one hundredths percent (4.81%).
          Insolvency Opinionshall mean that certain bankruptcy non-consolidation opinion letter, dated the date hereof, rendered by Lavenfeld Pearlstein, LLC in connection with the Loan.
          Insurance Fundsshall have the meaning set forth in Section 6.3.1.
          Insurance Premiumsshall have the meaning set forth in Section 5.1.1(b).
          Leaseshall mean any lease, sublease or subsublease, letting, license, concession or other agreement (whether written or oral and whether now or hereafter in effect) pursuant to which any Person is granted a possessory interest in, or right to use or occupy all or any portion of any space in the Property, and every modification, amendment or other agreement relating to such lease, sublease, subsublease, or other agreement entered into in connection with such lease, sublease, subsublease, or other agreement and every guarantee of the performance and observance of the covenants, conditions and agreements to be performed and observed by the other party thereto.
          Legal Requirementsshall mean all federal, state, county, municipal and other governmental statutes, laws, rules, orders, regulations, ordinances, judgments, decrees and injunctions of Governmental Authorities affecting Borrower or the Property or any part thereof or the construction, use, alteration or operation thereof, or any part thereof, whether now or hereafter enacted and in force, including, without limitation, the Americans with Disabilities Act of 1990, and all permits, licenses and authorizations and regulations relating thereto, and all covenants, agreements, restrictions and encumbrances contained in any instruments, either of record or known to Borrower, at any time in force affecting the Property or any part thereof, including, without limitation, any which may (i) require repairs, modifications or alterations in or to the Property or any part thereof, or (ii) in any way limit the use and enjoyment thereof.
          Lender Groupshall have the meaning set forth in Section 9.2(b).

-7-


 

          Lender Indemniteesshall have the meaning set forth in Section 11.13(b).
          Liabilitiesshall have the meaning set forth in Section 9.2(b).
          Lienshall mean any mortgage, deed of trust, lien, pledge, hypothecation, assignment, security interest, or any other encumbrance or charge, on or affecting the Property or any portion thereof or Borrower, or any interest therein, including, without limitation, any conditional sale or other title retention agreement, any financing lease having substantially the same economic effect as any of the foregoing, the filing of any financing statement, and mechanic’s, materialmen’s and other similar liens and encumbrances.
          Loanshall mean the loan in the original principal amount of Forty-Three Million Five Hundred Thousand and No/100 Dollars ($43,500,000.00) made by Lender to Borrower pursuant to this Agreement evidenced by the Note and secured by the Mortgage, together with all sums due or to become due thereunder.
          Loan Documentsshall mean, collectively, this Agreement, the Note, the Mortgage, the Assignment of Leases, the Cash Management Agreement, the Environmental Indemnity, the Guaranty, the Supplemental Guaranty, the Assignment of Management Agreement as well as all other documents now or hereafter executed and/or delivered in connection with the Loan.
          Loan to Value Ratioshall mean the ratio, as of a particular date, in which the numerator is equal to the outstanding principal balance of the Debt and the denominator is equal to the appraised value of the Property based on a FIRREA-conforming appraisal in form and substance satisfactory to Lender, as determined by Lender in its sole and absolute discretion.
          Major Leaseshall mean any Lease covering 10,000 square feet or more at the Property, provided that the calculations set forth in this definition of Major Lease shall be made based on the aggregate square footage leased, by any single Tenant and/or Affiliate of such Tenant, whether pursuant to a single Lease or otherwise.
          Management Agreementshall mean that certain management agreement entered into by and between Borrower and the Manager, pursuant to which the Manager is to provide management and other services with respect to the Property.
          Managershall mean Calarese Properties, Inc., a Massachusetts corporation, or any other manager approved in accordance with the terms and conditions of the Loan Documents.
          Material Adverse Effectshall mean any material adverse effect upon (i) the business operations, economic performance, assets, financial condition, equity, contingent liabilities, prospects, material agreements or results of operations of Borrower, Guarantor or the Property, (ii) the ability of Borrower or Guarantor to perform, in all material respects, its obligations under each of the Loan Documents, (iii) the enforceability or validity of any Loan Document, the perfection or priority of any Lien created under any Loan Document or the remedies of the Lender under any Loan Document or (iv) the value of, or cash flow from the Property or the operations thereof.

-8-


 

          Material Agreementsshall mean each contract and agreement relating to the ownership, management, development, use, operation, leasing, maintenance, repair or improvement of the Property, other than the Management Agreement and the Leases or other contract and/or agreement that is material to the use and operation of the Property or to Borrower.
          Maturity Dateshall mean November 1, 2011 or such other date on which the final payment of principal of the Note becomes due and payable as therein or herein provided, whether at such stated maturity date, by declaration of acceleration, or otherwise.
          Maximum Legal Rateshall mean the maximum nonusurious interest rate, if any, that at any time or from time to time may be contracted for, taken, reserved, charged or received on the indebtedness evidenced by the Note and as provided for herein or the other Loan Documents, under the laws of such state or states whose laws are held by any court of competent jurisdiction to govern the interest rate provisions of the Loan.
          Minimum Disbursement Amountshall mean Twenty-Five Thousand and No/100 Dollars ($25,000.00).
          Monthly Debt Service Payment Amountshall mean an amount equal to the interest on the outstanding principal balance of the Loan that accrues at the Interest Rate during each calendar month during the term of the Loan, calculated in the manner set forth herein.
          Monthly Payment Dateshall mean the first (1st) day of every calendar month occurring during the term of the Loan, provided, however, that Lender shall have the right at any time prior to Securitization of the Loan to change the Monthly Payment Date to any other day (or such other day of a calendar month selected by Lender, in its sole and absolute discretion, to collect debt service payments under loans which it makes and securitizes) upon notice to Borrower (in which event such change shall then be deemed effective) and, if requested by Lender, Borrower shall promptly execute an amendment to this Agreement to evidence such change, at no cost to Borrower (except that Borrower shall pay its own legal fees).
          Moody’sshall mean Moody’s Investors Service, Inc.
          Mortgageshall mean that certain first priority Mortgage and Security Agreement, dated the date hereof, executed and delivered by Borrower as security for the Loan and encumbering the Property, as the same may be amended, restated, replaced, supplemented or otherwise modified from time to time.
          Net Cash Flowshall mean, for any period, the amount obtained by subtracting Operating Expenses for such period from Gross Income from Operations for such period.
          Net Proceedsshall mean: (i) the net amount of all insurance proceeds payable as a result of a Casualty to the Property, after deduction of reasonable costs and expenses (including, but not limited to, reasonable attorneys’ fees), if any, in collecting such insurance proceeds, or (ii) the net amount of the Award, after deduction of reasonable costs and expenses (including, but not limited to, reasonable attorneys’ fees), if any, in collecting such Award.

-9-


 

          Net Proceeds Deficiencyshall have the meaning set forth in Section 5.3.2(f).
          Noteshall have the meaning set forth in Section 2.1.3.
          Noticeshall have the meaning set forth in Section 11.6.
          Officer’s Certificateshall mean a certificate delivered to Lender by Borrower which is signed by an authorized senior officer of Borrower.
          Operating Agreementsshall mean any material covenants, restrictions or agreements of record relating to the construction, operation or use of the Property.
          Operating Expensesshall mean, for any period, the total of all expenditures, computed on a cash accounting basis, of whatever kind during such period relating to the operation, maintenance and management of the Property that are incurred on a regular monthly or other periodic basis, including without limitation, utilities, ordinary repairs and maintenance (which ordinary repairs and maintenance for the purposes of this definition shall be no less than an assumed expense of $54,062.50 per month), insurance, license fees, property taxes and assessments, advertising expenses, management fees, payroll and related taxes, computer processing charges, tenant improvements, leasing commissions and normalized capital expenditures (which tenant improvements, leasing commissions and normalized capital expenditures for the purposes of this definition shall be no less than an assumed expense of $413,579.00 per month), operational equipment or other lease payments as approved by Lender, and other similar costs, but excluding from such calculation depreciation, Debt Service and interest costs.
          Other Chargesshall mean all ground rents, maintenance charges, impositions other than Taxes, and any other charges, including, without limitation, vault charges and license fees for the use of vaults, chutes and similar areas adjoining the Property, now or hereafter levied or assessed or imposed against the Property or any part thereof.
          Partial Defeasance Collateralshall mean U.S. Obligations, which provide payments (i) on or prior to, but as close as possible to, the Business Day immediately preceding all Monthly Payment Dates and other scheduled payment dates, if any, under the Defeased Note after the Partial Defeasance Date and up to and including the Permitted Prepayment Date, and (ii) in amounts equal to or greater than the Scheduled Partial Defeasance Payments relating to such Monthly Payment Dates and other scheduled payment dates.
          Partial Defeasance Dateshall have the meaning set forth in Section 2.5.2(a)(i).
          Partial Defeasance Eventshall have the meaning set forth in Section 2.5.2(a).
          Patriot Actshall mean collectively all laws relating to terrorism or money laundering, including Executive Order No. 13224 on Terrorist Financing (effective September 24, 2001) and the Uniting and Strengthening America by Providing Appropriate Tools Required to Intercept and Obstruct Terrorism Act of 2001 (Public Law 107 56).

-10-


 

          Permitted Encumbrancesshall mean, collectively, (i) the Liens and security interests created by the Loan Documents, (ii) all Liens, encumbrances and other matters expressly set forth on Schedule A or Schedule B of the Title Insurance Policy, (iii) Liens, if any, for Taxes imposed by any Governmental Authority not yet due or delinquent, (iv) such other title and survey exceptions as Lender has approved or may approve in writing in Lender’s sole discretion, and (v) easements granted by Borrower from and after the date hereof in the ordinary course of business and approved by Lender, which approval shall not be unreasonably withheld.
          Permitted Investmentsshall have the meaning set forth in the Cash Management Agreement.
          Permitted Prepayment Dateshall have the meaning set forth in Section 2.4.1.
          Permitted Transfereeshall mean a corporation, partnership or limited liability company (i) acceptable to Lender in its sole discretion, (ii) that qualifies as a single purpose, bankruptcy remote entity under criteria established by the Rating Agencies and (iii) whose counsel has delivered to Lender a non-consolidation opinion reasonably acceptable to Lender and the Rating Agencies.
          Personshall mean any individual, corporation, partnership, limited liability company, joint venture, estate, trust, unincorporated association, any other entity, any federal, state, county or municipal government or any bureau, department or agency thereof and any fiduciary acting in such capacity on behalf of any of the foregoing.
          Policyshall have the meaning set forth in Section 5.1.1(b).
          Prepayment Dateshall mean the date on which the Loan is prepaid in accordance with the terms hereof.
          Prohibited Personshall mean any Person:
     (i) listed in the Annex to, or is otherwise subject to the provisions of, the Executive Order No. 13224 on Terrorist Financing, effective September 24, 2001, and relating to Blocking Property and Prohibiting Transactions With Persons Who Commit, Threaten to Commit, or Support Terrorism (the Executive Order);
     (ii) that is owned or controlled by, or acting for or on behalf of, any Person or entity that is listed in the Annex to, or is otherwise subject to the provisions of the Executive Order;
     (iii) with whom Lender is prohibited from dealing or otherwise engaging in any transaction by any terrorism or money laundering Law, including the Executive Order;
     (iv) who commits, threatens or conspires to commit or supports “terrorism” as defined in the Executive Order;

-11-


 

     (v) that is named as a “specially designated national and blocked person” on the most current list published by the U.S. Treasury Department Office of Foreign Assets Control at its official website or at any replacement website or other replacement official publication of such list; or
     (vi) who is an Affiliate of a Person listed above.
          Prohibited Transfershall have the meaning specified in Section 8.1(a).
          Propertyshall mean the parcel of real property, the Improvements thereon and all personal property owned by Borrower and encumbered by the Mortgage, together with all rights pertaining to such property and Improvements, all as more particularly described in the granting clauses of the Mortgage.
          Qualified Transfereeshall mean any one of the following Persons or wholly owned subsidiaries of such Person:
     (i) a pension fund, pension trust or pension account that (a) has total real estate assets of at least One Billion Dollars and (b) is managed by a Person who controls at least One Billion Dollars of real estate equity assets; or
     (ii) a pension fund advisor who (a) immediately prior to such transfer, controls at least One Billion Dollars of real estate equity assets and (b) is acting on behalf of one or more pension funds that, in the aggregate, satisfy the requirements of clause (i) of this definition; or
     (iii) an insurance company which is subject to supervision by the insurance commissioner, or a similar official or agency, of a state or territory of the United States (including the District of Columbia) (a) with a net worth, as of a date no more than six (6) months prior to the date of the transfer of at least Five Hundred Million Dollars and (b) who, immediately prior to such transfer, controls real estate equity assets of at least One Billion Dollars; or
     (iv) a corporation organized under the banking laws of the United States or any state or territory of the United States (including the District of Columbia) (a) with a combined capital and surplus of at least Five Hundred Million Dollars and (b) who, immediately prior to such transfer, controls real estate equity assets of at least One Billion Dollars; or
     (v) any Person (a) with a long-term unsecured debt rating from the Rating Agencies of at least investment grade or (b) who (i) directly or indirectly owns or operates at least twelve (12) regional shopping centers totaling at least six million square feet of gross leasable area, (ii) has a net worth, as of a date no more than six (6) months prior to the date of such transfer, of at least Five Hundred Million Dollars and (iii) immediately prior to such transfer, controls real estate equity assets of at least One Billion Dollars.

-12-


 

          Rating Agenciesshall mean, prior to the final Securitization of the Loan, each of S&P, Moody’s and Fitch, or any other nationally-recognized statistical rating agency which has been designated by Lender and, after the final Securitization of the Loan, shall mean any of the foregoing that have rated any of the Securities.
          Rating Agency Confirmationshall mean a written affirmation from each of the Rating Agencies that the credit rating of the Securities by such Rating Agency immediately prior to the occurrence of the event with respect to which such Rating Agency Confirmation is sought will not be qualified, downgraded or withdrawn as a result of the occurrence of such event, which affirmation may be granted or withheld in such Rating Agency’s sole and absolute discretion.
          Registration Statementshall have the meaning set forth in Section 9.2(b).
          Release Dateshall mean the earlier to occur of (i) the fourth (4th) anniversary of the Closing Date and (ii) the date that is two (2) years from the “startup day” (within the meaning of Section 860G(a)(9) of the Code) of the REMIC Trust established in connection with the last Securitization involving any portion of this Loan.
          Release Parcelshall mean that certain portion of the Property comprising approximately 50,000 square feet of office space more particularly shown on Schedule VI attached hereto.
          REMIC Trustshall mean a real estate mortgage investment conduit” within the meaning of Section 860D of the Code that holds the Note or any portion thereof.
          Rentsshall mean all rents (including, without limitation, percentage rents), rent equivalents, moneys payable as damages or in lieu of rent or rent equivalents, royalties (including, without limitation, all oil and gas or other mineral royalties and bonuses), income, receivables, receipts, revenues, deposits (including, without limitation, security, utility and other deposits), accounts, cash, issues, profits, charges for services rendered, and other consideration of whatever form or nature received by or paid to or for the account of or benefit of Borrower or its agents or employees from any and all sources arising from or attributable to the Property, and proceeds, if any, from business interruption or other loss of income insurance.
          Required Repair Fundsshall have the meaning set forth in Section 6.1.1.
          Required Repairsshall have the meaning set forth in Section 6.1.1.
          Reserve Fundsshall mean, collectively, the Capital Expenditure Funds, the Insurance Funds, the Tax Funds, the Required Repair Funds and the Rollover Funds.
          Restorationshall have the meaning set forth in Section 5.2.1.
          Restoration Thresholdshall mean Eight Hundred Seventy Thousand and No/00 Dollars ($870,000.00).

-13-


 

          Restricted Partyshall mean Borrower, Borrower Principal, and any SPC Party.
          Rollover Fundsshall have the meaning set forth in Section 6.5.1.
          S&Pshall mean Standard & Poor’s Ratings Services, a division of The McGraw-Hill Companies, Inc.
          Sale or Pledgeshall mean a voluntary or involuntary sale, conveyance, mortgage, grant, bargain, encumbrance, pledge, assignment, grant of any options with respect to, or any other transfer or disposition of (directly or indirectly, voluntarily or involuntarily, by operation of law or otherwise, and whether or not for consideration or of record) of a legal or beneficial interest, except with respect to Permitted Encumbrances.
          Scheduled Defeasance Paymentsshall mean Scheduled Partial Defeasance Payments or Scheduled Total Defeasance Payments, as the case may be.
          Scheduled Partial Defeasance Paymentsshall mean scheduled payments of interest and principal under the Defeased Note for all Monthly Payment Dates occurring after the Partial Defeasance Date and up to and including the Permitted Prepayment Date (including, the outstanding principal balance on the Defeased Note as of the Permitted Prepayment Date), and all payments required after the Partial Defeasance Date, if any, under the Loan Documents for servicing fees, and other similar charges.
          Scheduled Total Defeasance Paymentsshall mean scheduled payments of interest and principal under the Note in the amount of the Monthly Debt Service Payment Amount for all Monthly Payment Dates occurring after the Total Defeasance Date and up to and including the Permitted Prepayment Date (including, the outstanding principal balance on the Note as of the Permitted Prepayment Date), and all payments required after the Total Defeasance Date, if any, under the Loan Documents for servicing fees and other similar charges.
          Secondary Market Transactionshall have the meaning set forth in Section 9.1(a).
          Securitiesshall have the meaning set forth in Section 9.1(a).
          Securities Actshall have the meaning set forth in Section 9.2(a).
          Securitizationshall have the meaning set forth in Section 9.1(a).
          Security Agreementshall mean a security agreement in form and substance that would be satisfactory to a prudent lender pursuant to which Borrower grants Lender a perfected, first priority security interest in the Defeasance Collateral Account and the Defeasance Collateral.
          Servicershall have the meaning set forth in Section 11.24(a).
          Servicing Agreementshall have the meaning set forth in Section 11.24(a).

-14-


 

          Severed Loan Documentsshall have the meaning set forth in Section 10.2(c).
          SPC Partyshall have the meaning set forth in Section 3.1.24(o).
          Standard Statementsshall have the meaning set forth in Section 9.1(c)(i).
          Stateshall mean the State or Commonwealth in which the Property or any part thereof is located.
          Stop and Shopshall mean Stop & Shop Supermarket Company, Inc., as tenant under the Stop and Shop Lease.
          Stop and Shop Leaseshall mean that certain lease dated July 1, 1986 between Stop and Shop, as tenant and Roger V. Calarese and Americo Calarese as Trustees for Franklin Village Trust, as landlord (as modified and amended, including without limitation the Stop and Shop Third Lease Amendment).
          Stop and Shop Third Lease Amendmentshall mean that certain Third Amendment to the Stop and Shop Lease, dated April 2, 2004.
          Substitute Guarantorshall have the meaning set forth in Section 8.3 hereof.
          Successor Borrowershall have the meaning set forth in Section 2.5.3.
          Supplemental Guarantyshall mean that certain Supplemental Guaranty of even date herewith from Guarantor for the benefit of Lender.
          Surveyshall mean a current land survey for the Property, certified to the title company and Lender and its successors and assigns, in form and content reasonably satisfactory to Lender and prepared by a professional and properly licensed land surveyor reasonably satisfactory to Lender in accordance with the 1999 Minimum Standard Detail Requirements for ALTA/ACSM Land Title Surveys (i) meeting the classification of an “Urban Survey” and the following additional items from the list of “Optional Survey Responsibilities and Specifications” (Table A) should be added to each survey: 2, 3, 4, 6, 8, 9, 10, 11 and 13, (ii) reflecting a metes and bounds description of the real property comprising part of the Property in conformity with the Title Insurance Policy, and (iii) together with the surveyor’s seal affixed to the Survey and a certification from the surveyor in form and substance reasonably acceptable to Lender.
          Tax Fundsshall have the meaning set forth in Section 6.2.1.
          Taxesshall mean all real estate and personal property taxes, assessments, water rates or sewer rents, now or hereafter levied or assessed or imposed against the Property or part thereof, together with all interest and penalties thereon.
          Tenantshall mean any Person obligated by contract or otherwise to pay monies (including a percentage of gross income, revenue or profits) under any Lease now or hereafter affecting all or any part of the Property.

-15-


 

          Terrorism Capshall have the meaning set forth in Section 5.1.1(a)(x) hereof.
          Title Insurance Policyshall mean an ALTA mortgagee Title Insurance policy in the form reasonably acceptable to Lender issued with respect to the Property and insuring the lien of the Mortgage together with such endorsements and affirmative coverages as Lender may reasonably require.
          Total Defeasance Collateralshall mean U.S. Obligations, which provide payments (i) on or prior to, but as close as possible to, the Business Day immediately preceding all Monthly Payment Dates and other scheduled payment dates, if any, under the Note after the Total Defeasance Date and up to and including the Permitted Prepayment Date, and (ii) in amounts equal to or greater than the Scheduled Total Defeasance Payments relating to such Monthly Payment Dates and other scheduled payment dates.
          Total Defeasance Dateshall have the meaning set forth in Section 2.5.1(a)(i).
          Total Defeasance Eventshall have the meaning set forth in Section 2.5.1(a).
          Transfereeshall have the meaning set forth in Section 8.1(e)(ii).
          Trusteeshall mean any trustee holding the Loan in a Securitization.
          UCC or Uniform Commercial Codeshall mean the Uniform Commercial Code as in effect in the State.
          Undefeased Noteshall have the meaning set forth in Section 2.5.2(a)(iv) hereof.
          Underwriter Groupshall have the meaning set forth in Section 9.2(b).
          Updated Informationshall have the meaning set forth in Section 9.1(b)(i).
          U.S. Obligationsshall mean direct full faith and credit obligations of the United States of America that are not subject to prepayment, call or early redemption.
          Yield Maintenance Premiumshall mean the amount, if any, which, when added to the remaining principal amount of the Note, will be sufficient to purchase U.S. Obligations providing the required Scheduled Defeasance Payments and any other costs and expenses that would be incurred in defeasing the Loan pursuant to Section 2.5 hereof.
          Section 1.2 Principles of Construction.
          All references to sections and schedules are to sections and schedules in or to this Agreement unless otherwise specified. Unless otherwise specified, the words “hereof,” “herein” and “hereunder” and words of similar import when used in this Agreement shall refer to this Agreement as a whole and not to any particular provision of this Agreement. Unless otherwise specified, all meanings attributed to defined terms herein shall be equally applicable to both the singular and plural forms of the terms so defined.

-16-


 

          II. THE LOAN
          Section 2.1 The Loan.
          2.1.1 Agreement to Lend and Borrow. Subject to and upon the terms and conditions set forth herein, Lender shall make the Loan to Borrower and Borrower shall accept the Loan from Lender on the Closing Date.
          2.1.2 Single Disbursement to Borrower. Borrower shall receive only one (1) borrowing hereunder in respect of the Loan and any amount borrowed and repaid hereunder in respect of the Loan may not be reborrowed.
          2.1.3 The Note. The Loan shall be evidenced by that certain Promissory Note of even date herewith, in the stated principal amount of Forty-Three Million Five Hundred Thousand and No/100 Dollars ($43,500,000.00) executed by Borrower and payable to the order of Lender in evidence of the Loan (as the same may hereafter be amended, supplemented, restated, increased, extended or consolidated from time to time, the NOTE) and shall be repaid in accordance with the terms of this Agreement and the Note.
          2.1.4 Use of Proceeds. Borrower shall use proceeds of the Loan to (a) to acquire the Property, (b) deposit the Reserve Funds, (c) pay costs and expenses incurred in connection with the closing of the Loan, as approved by Lender, (d) fund any working capital requirements of the Property, as approved by Lender and (e) distribute the balance of the proceeds, if any to Borrower.
          Section 2.2 Interest Rate.
          2.2.1 Interest Rate. Interest on the outstanding principal balance of the Loan shall accrue from the Closing Date up to and including the Maturity Date at the Interest Rate.
          2.2.2 Intentionally Omitted
          2.2.3 Default Rate. In the event that, and for so long as, any Event of Default shall have occurred and be continuing, the outstanding principal balance of the Loan and, to the extent permitted by law, overdue interest in respect of the Loan, shall accrue interest at the Default Rate, calculated from the date such payment was due without regard to any grace or cure periods contained herein.
          2.2.4 Interest Calculation. Interest on the outstanding principal balance of the Loan shall be calculated by multiplying (a) the actual number of days elapsed in the period for which the calculation is being made by (b) a daily rate based on a three hundred sixty (360) day year (that is, the Interest Rate or the Default Rate, as then applicable, expressed as an annual rate divided by 360) by (c) the outstanding principal balance.
          2.2.5 Usury Savings. This Agreement and the other Loan Documents are subject to the express condition that at no time shall Borrower be required to pay interest on the principal balance of the Loan at a rate which could subject Lender to either civil or criminal liability as a result of being in excess of the Maximum Legal Rate. If by the terms of this

-17-


 

Agreement or the other Loan Documents, Borrower is at any time required or obligated to pay interest on the principal balance due hereunder at a rate in excess of the Maximum Legal Rate, the Interest Rate or the Default Rate, as the case may be, shall be deemed to be immediately reduced to the Maximum Legal Rate and all previous payments in excess of the Maximum Legal Rate shall be deemed to have been payments in reduction of principal and not on account of the interest due hereunder. All sums paid or agreed to be paid to Lender for the use, forbearance, or detention of the sums due under the Loan shall, to the extent permitted by applicable law, be amortized, prorated, allocated, and spread throughout the full stated term of the Loan until payment in full so that the rate or amount of interest on account of the Loan does not exceed the Maximum Legal Rate from time to time in effect and applicable to the Loan for so long as the Loan is outstanding.
          Section 2.3 Loan Payments.
          2.3.1 Payment Before Maturity Date. Borrower shall make a payment to Lender of interest only on the Closing Date for the period from the Closing Date through the last day of the month in which the Closing Date occurs (unless the Closing Date is the first (1st) day of a calendar month, in which case no such separate payment of interest shall be due). Borrower shall make a payment to Lender of interest only in the amount of the Monthly Debt Service Payment Amount on the Monthly Payment Date occurring in December, 2004 and on each Monthly Payment Date thereafter to and including the Maturity Date.
          2.3.2 Intentionally Omitted.
          2.3.3 Payment on Maturity Date. Borrower shall pay to Lender on the Maturity Date the outstanding principal balance of the Loan, all accrued and unpaid interest and all other amounts due hereunder and under the Note, the Mortgage and the other Loan Documents.
          2.3.4 Late Payment Charge. If any principal, interest or any other sum due under the Loan Documents, other than the payment of principal due on the Maturity Date, is not paid by Borrower on or prior to the fifth (5th) day following the date on which it is due, Borrower shall pay to Lender upon demand an amount equal to the lesser of (a) five percent (5%) of such unpaid sum or (b) the maximum amount permitted by applicable law in order to defray the expense incurred by Lender in handling and processing such delinquent payment and to compensate Lender for the loss of the use of such delinquent payment. Any such amount shall be secured by the Mortgage and the other Loan Documents.
          2.3.5 Method and Place of Payment.
          (a) Except as otherwise provided herein, all payments and prepayments under this Agreement and the Note shall be made to Lender not later than 1:00 P.M., New York City time, on the date when due and shall be made in lawful money of the United States of America in immediately available funds at Lender’s office at 1114 Avenue of the Americas, 29th Floor, New York, New York 10036, or at such other place as Lender may from time to time designate in writing, and any funds received by Lender after such time shall, for all purposes hereof, be deemed to have been paid on the next succeeding Business Day.

-18-


 

          (b) Whenever any payment to be made hereunder or under any other Loan Document shall be stated to be due on a day which is not a Business Day, the due date thereof shall be the immediately preceding Business Day, and such early payment shall in such case not be included in the computation of interest.
          (c) All payments required to be made by Borrower hereunder or under the Note or the other Loan Documents shall be made irrespective of, and without deduction for, any setoff, claim or counterclaim and shall be made irrespective of any defense thereto.
          Section 2.4 Prepayments.
          2.4.1 Voluntary Prepayments. Except as otherwise provided herein, Borrower shall not have the right to prepay the Loan in whole or in part. On and after May 1, 2011 (Permitted Prepayment Date), Borrower may, at its option and upon thirty (30) days prior notice to Lender, prepay the Debt in whole, but not in part, on any date without payment of the Yield Maintenance Premium or any other prepayment premium, but with payment of accrued and unpaid interest and all other sums owing under the Note, this Agreement and the other Loan Documents. Any prepayment received by Lender on a date other than a Monthly Payment Date shall include interest which would have accrued thereon to the next Monthly Payment Date.
          2.4.2 Mandatory Prepayments. On each date on which Lender actually receives a distribution of Net Proceeds, and if Lender does not make such Net Proceeds available to Borrower for a Restoration, Borrower shall, at Lender’s option, prepay the outstanding principal balance of the Note in an amount equal to one hundred percent (100%) of such Net Proceeds together with interest that would have accrued on such amounts through the next Monthly Payment Date. No Yield Maintenance Premium or any other prepayment premium shall be due in connection with any prepayment made pursuant to this Section 2.4.2. Any partial prepayment shall be applied to the payment due at maturity.
          2.4.3 Prepayments After Default. If after an Event of Default, but prior to the date when prepayment is permitted under Section 2.4.1, payment of all or any part of the principal of the Loan is tendered by Borrower (which tender Lender may reject to the extent permitted under applicable Legal Requirements), a purchaser at foreclosure or any other Person, such tender shall be deemed an attempt to circumvent the prohibition against prepayment set forth in Section 2.4.1 and Borrower, such purchaser at foreclosure or other Person shall pay a sum equal to the greater of (i) the Yield Maintenance Premium, and (ii) one percent (1.0%) of the outstanding principal balance of the Loan, in addition to the outstanding principal balance, all accrued and unpaid interest and other amounts payable under the Loan Documents.
          Section 2.5 Defeasance.
          2.5.1 Total Defeasance.
          (a) Provided no Event of Default shall have occurred and remain uncured, Borrower shall have the right at any time after the Release Date to voluntarily defease the entire Loan and obtain a release of the lien of the Mortgage by providing Lender with the Total Defeasance Collateral (hereinafter, a Total Defeasance Event), subject to the satisfaction of the following conditions precedent:

-19-


 

     (i) Borrower shall provide Lender not less than thirty (30) days notice (or such shorter period of time if permitted by Lender in its sole discretion) specifying a date (the Total Defeasance Date) on which the Total Defeasance Event is to occur;
     (ii) Borrower shall pay to Lender (A) all payments of interest due on the Loan to and including the Total Defeasance Date (including, without limitation, short-term interest, if any) and (B) all other sums, then due under the Note, this Agreement, the Mortgage and the other Loan Documents;
     (iii) Borrower shall deposit the Total Defeasance Collateral into the Defeasance Collateral Account and otherwise comply with the provisions of Sections 2.5.3 and 2.5.4 hereof;
     (iv) Borrower shall execute and deliver to Lender a Security Agreement in respect of the Defeasance Collateral Account and the Total Defeasance Collateral;
     (v) Borrower shall deliver to Lender an opinion of counsel for Borrower that is standard and commercially reasonable in commercial lending transactions and subject only to customary qualifications, assumptions and exceptions opining, among other things, that (A) Lender has a legal and valid perfected first priority security interest in the Defeasance Collateral Account and the Total Defeasance Collateral, (B) if a Securitization has occurred, the REMIC Trust formed pursuant to such Securitization will not fail to maintain its status as a “real estate mortgage investment conduit” within the meaning of Section 860D of the Code as a result of a Total Defeasance Event pursuant to this Section 2.5, (C) that Borrower has legally and validly transferred and assigned the Total Defeasance Collateral to the Successor Borrower and (D) a non-consolidation opinion with respect to the Successor Borrower;
     (vi) Borrower shall deliver to Lender a Rating Agency Confirmation as to the Total Defeasance Event;
     (vii) Borrower shall deliver an Officer’s Certificate certifying that the requirements set forth in this Section 2.5 have been satisfied;
     (viii) Borrower shall deliver a certificate of a “big four” or other nationally recognized public accounting firm reasonably acceptable to Lender certifying that the Total Defeasance Collateral will generate monthly amounts equal to or greater than the Scheduled Total Defeasance Payments;
     (ix) Borrower shall deliver such other certificates, opinions, documents and instruments as Lender may reasonably request; and
     (x) Borrower shall pay all costs and expenses of Lender actually incurred in connection with the Total Defeasance Event, including Lender’s reasonable attorneys’ fees and expenses and Rating Agency fees and expenses. Simultaneously with the notice described in subparagraph (a)(i) above, Borrower shall deliver to Lender an amount reasonably determined by Lender to be sufficient to pay such costs and expenses, which amount may be applied by Lender toward payment of such costs and expenses if a

-20-


 

proposed Total Defeasance Event does not occur, provided that if such amount is insufficient to pay such costs and expenses, Borrower shall remain obligated to pay any deficiency.
          (b) If Borrower has elected to defease the Note and the requirements of this Section 2.5.1 have been satisfied, the Property shall be released from the lien of the Mortgage and the Total Defeasance Collateral pledged pursuant to the Security Agreement shall be the sole collateral securing the Note. In connection with the release of the Lien, Borrower shall submit to Lender, not less than thirty (30) days prior to the Total Defeasance Date (or such shorter time as is acceptable to Lender in its sole discretion), a release of Lien (and related Loan Documents) for execution by Lender. Such release shall be in a form appropriate in the jurisdiction in which the Property is located and shall contain standard provisions protecting the rights of the releasing lender. In addition, Borrower shall provide all other documentation Lender reasonably requires to be delivered by Borrower in connection with such release, together with an Officer’s Certificate reasonably acceptable to Lender certifying that such documentation (i) is in material compliance with all Legal Requirements, and (ii) will effect such release in accordance with the terms of this Agreement. Borrower shall pay all reasonable costs, taxes and expenses associated with the release of the lien of the Mortgage, including Lender’s reasonable attorneys’ fees. Except as set forth in this Section 2.5.1, no repayment, prepayment or defeasance of all or any portion of the Note shall cause, give rise to a right to require, or otherwise result in, the release of the lien of the Mortgage on the Property. The foregoing release shall be effective upon the Total Defeasance Date but Lender agrees to provide written evidence of such release to Borrower promptly following Borrower’s request therefor.
          2.5.2 Partial Defeasance. (a) Provided no Event of Default shall have occurred and remain uncured beyond the expiration of any applicable cure period, Borrower shall have the right at any time after the Release Date to obtain a partial release of the Lien of the Mortgage encumbering the Release Parcel (hereinafter, a Partial Defeasance Event) upon satisfaction of the following conditions:
     (i) Borrower shall provide Lender thirty (30) days prior written notice (or such shorter period of time if permitted by Lender in its sole discretion) specifying a Monthly Payment Date (the Partial Defeasance Date) on which Borrower shall have satisfied the conditions in this Section 2.5.2 and shall effect the defeasance;
     (ii) Borrower shall pay to Lender (A) all payments of interest due and payable on the Loan up to and including the Partial Defeasance Date and (B) all other sums, then due and payable under the Note, this Agreement, the Mortgage and the other Loan Documents;
     (iii) Borrower shall deposit the Partial Defeasance Collateral into the Defeasance Collateral Account and otherwise comply with the provisions of Sections 2.5.3 and 2.5.4 hereof;
     (iv) Borrower shall prepare all necessary documents to modify this Agreement and to amend and restate the Note and issue two substitute notes, one note having a principal balance equal to 125% of the Allocated Loan Amount (the Defeased Note),

-21-


 

and the other note having a principal balance equal to the excess of (A) the outstanding principal amount of the Loan, over (B) the amount of the Defeased Note (the Undefeased Note). The Defeased Note and the Undefeased Note shall have identical payment terms as the Note except for the principal balance. The Defeased Note and the Undefeased Note shall be cross defaulted and cross collateralized unless the Rating Agencies shall require otherwise or unless a Successor Borrower is established pursuant to Section 2.5.4. A Defeased Note may not be the subject of any further defeasance;
     (v) Borrower shall execute and deliver to Lender a Security Agreement in respect of the Defeasance Collateral Account and the Partial Defeasance Collateral;
     (vi) After giving effect to the release of the Lien of the Mortgage encumbering the Release Parcel, the Debt Service Coverage Ratio with respect to the remaining portion of the Property is not less than the greater of (A) the Debt Service Coverage Ratio prior to the release and (B) Debt Service Coverage Ratio of 1.90x.
     (vii) Borrower shall have delivered to Lender and the Rating Agencies shall have received from Borrower with respect to the matters referred to in clause (vi), (A) statements of the Net Cash Flow and Debt Service (both on a consolidated basis and separately for the applicable portion of the Property to be released) for the applicable measuring period and (B) based on the foregoing statements of Net Cash Flow and Debt Service, calculations of the Debt Service Coverage Ratio both with and without giving effect to the proposed release, and (C) calculations of the ratios referred to in such clause (vi), accompanied by an Officer’s Certificate stating that such statements, calculations and information are true, correct and complete in all material respects;
     (viii) Borrower shall deliver to Lender an opinion of counsel for Borrower that would be reasonably satisfactory to a prudent lender opining, among other things, that (A) Lender has a legal and valid perfected first priority security interest in the Defeasance Collateral Account and the Partial Defeasance Collateral, (B) if a Securitization has occurred, the REMIC Trust formed pursuant to such Securitization will not fail to maintain its status as a “real estate mortgage investment conduit” within the meaning of Section 860D of the Code as a result of the defeasance pursuant to this Section 2.5.2, (C) that Borrower has legally and validly transferred and assigned the Total Defeasance Collateral to the Successor Borrower (D) delivery of the Partial Defeasance Collateral and the grant of a security interest therein to Lender shall not constitute an avoidable preference under Section 547 of the Bankruptcy Code or applicable state law and (E) a non-consolidation opinion with respect to the Successor Borrower;
     (ix) Borrower shall deliver to Lender a Rating Agency Confirmation as to the Partial Defeasance Event;
     (x) Borrower shall deliver a certificate of a “big four” or other nationally recognized public accounting firm reasonably acceptable to Lender certifying that the Partial Defeasance Collateral will generate monthly amounts equal to or greater than the Scheduled Defeasance Payments;

-22-


 

     (xi) Borrower shall deliver to Lender an Officer’s Certificate certifying that the requirements set forth in this Section 2.5.2(a) have been satisfied;
     (xii) Borrower shall deliver to Lender such other certificates, documents or instruments as Lender may reasonably request; and
     (xiii) Borrower shall pay all costs and expenses of Lender actually incurred in connection with the defeasance, including Lender’s reasonable attorneys’ fees and expenses.
          (b) If Borrower has elected to make a partial defeasance and the requirements of Section 2.5.2(a) have been satisfied, the Release Parcel shall be released from the Lien of the Mortgage, upon satisfaction of the following additional conditions:
     (i) on the date Borrower delivers to Lender notice of the proposed release and on the date of the release, no Event of Default has occurred which is continuing;
     (ii) not less than ten (10) Business Days prior to the date of the release, Borrower delivers to Lender a notice setting forth (i) the date of the release, (ii) a metes and bounds description of the Release Parcel and (iii) a Survey of the Release Parcel;
     (iii) Borrower delivers to Lender evidence (together with an Officer’s Certificate certifying to such documentation) which would be satisfactory to a prudent lender acting reasonably that (A) the Release Parcel has been, or is about to be (without any further discretionary or other approvals pending), legally subdivided from the remainder of the Property; (B) after giving effect to such transfer, each of the Release Parcel and the balance of the Property conforms to and is in compliance in all material respects with applicable Legal Requirements and constitute separate tax lots, and (C) the Release Parcel is not necessary for the Property to comply with any zoning, building, land use or parking or other Legal Requirements applicable to the Property or for the then current use of the Property, including without limitation for legal access, driveways, parking, utilities or drainage or, to the extent that the Release Parcel is necessary for any such purpose, a reciprocal easement agreement or other agreement has been executed and recorded that would run to the benefit of Borrower, run with the land and allow the owner of the Property to continue to use the Release Parcel to the extent necessary for such purpose;
     (iv) in the event that the release would reasonably be expected to materially adversely effect Lender’s rights under the Title Insurance Policy as to any portion of the Property other than as to the Release Parcel, Borrower shall deliver to Lender an endorsement to the Title Insurance Policy insuring the Mortgage (A) extending the effective date of the policy to the effective date of the release; (B) confirming no change in the priority of the Mortgage on the balance of the Property (exclusive of the Release Parcel) or in the amount of the insurance or the coverage of the Property (exclusive of the Release Parcel) under the policy; and (C) insuring the rights and benefits under any new or amended reciprocal easement agreement or such other agreement required pursuant to clause (iii)(C) of this Section that has been executed and recorded, and the lien of the

-23-


 

Mortgage is a first lien on Borrower’s beneficial interest in such easement, subject to no exceptions other than Permitted Encumbrances and those approved by Lender in its reasonable discretion;
     (v) Borrower has complied with any requirements applicable to the release in the Leases, reciprocal easement agreements, operating agreements, parking agreements or other similar agreements affecting the Property and the release does not violate any of the provisions of such documents in any respect that would result in a termination (or give any other party thereto the right to terminate), extinguishment or other loss of material rights of Borrower or in a material increase in Borrower’s obligations under such documents and, to the extent necessary to comply with such documents, the transferee of the Release Parcel has assumed Borrower’s obligations, if any, relating to the Release Parcel under such documents;
     (vi) Borrower shall submit to Lender, not less than five (5) Business Days prior to the Partial Defeasance Date (or such shorter time as permitted by Lender in its sole discretion), a release of Lien (and related Loan Documents) for execution by Lender. Such release shall be in a form appropriate in the jurisdiction in which the Property is located and that would be satisfactory to a prudent lender;
     (vii) Borrower shall pay all costs, taxes and expenses actually incurred in connection with the release of the Lien of the Mortgage, including Lender’s reasonable attorneys’ fees and reasonable out-of-pocket expenses;
     (viii) Borrower delivers to Lender any other information, approvals and documents which would be required by a prudent lender acting reasonably relating to the release; and
     (ix) Borrower shall cause, if applicable, title to the Release Parcel so released from the Lien of the Mortgage to be transferred to and held by a Person other than Borrower.
          (c) Except as set forth in this Section 2.5, no repayment, prepayment or defeasance of all or any portion of the Note shall cause, give rise to a right to require, or otherwise result in, the release of any Lien of any Mortgage on any of the Property.
          2.5.3 Defeasance Collateral Account. On or before the date on which Borrower delivers the Defeasance Collateral, Borrower shall open at any Eligible Institution the defeasance collateral account (the Defeasance Collateral Account) which shall at all times be an Eligible Account. The Defeasance Collateral Account shall contain only (a) Defeasance Collateral, and (b) cash from interest and principal paid on the Defeasance Collateral. All cash from interest and principal payments paid on the Defeasance Collateral shall be paid over to Lender on each Monthly Payment Date and applied to accrued and unpaid interest. Any cash from interest and principal paid on the Defeasance Collateral not needed to pay the Scheduled Defeasance Payments shall be paid to Borrower. Borrower shall cause the Eligible Institution at which the Defeasance Collateral is deposited to enter an agreement with Borrower and Lender, satisfactory to Lender in its sole discretion, pursuant to which such Eligible Institution shall

-24-


 

agree to hold and distribute the Defeasance Collateral in accordance with this Agreement. The Borrower or Successor Borrower, as applicable, shall be the owner of the Defeasance Collateral Account and shall report all income accrued on the Defeasance Collateral for federal, state and local income tax purposes in its income tax return. Borrower or Successor Borrower shall prepay all cost and expenses associated with opening and maintaining the Defeasance Collateral Account. Lender shall not in any way be liable by reason of any insufficiency in the Defeasance Collateral Account.
          2.5.4 Successor Borrower. In connection with a Defeasance Event under this Section 2.5, Borrower shall, if required by the Rating Agencies or if Borrower elects to do so, establish or designate a successor entity (the Successor Borrower) which shall be a single purpose bankruptcy remote entity and which shall be approved by the Rating Agencies. Any such Successor Borrower may, at Borrower’s option, be an Affiliate of Borrower unless the Rating Agencies shall require otherwise. Borrower shall transfer and assign all obligations, rights and duties under and to the Note or the Defeased Note, as applicable, together with the Defeasance Collateral to such Successor Borrower. Such Successor Borrower shall assume the obligations under the Note or the Defeased Note, as applicable, and the Security Agreement and Borrower shall be relieved of its obligations under such documents. Borrower shall pay a minimum of One Thousand and No/100 Dollars ($1,000.00) to any such Successor Borrower as consideration for assuming the obligations under the Note or the Defeased Note, as applicable, and the Security Agreement. Borrower shall pay all costs and expenses actually incurred by Lender, including Lender’s reasonable attorney’s fees and expenses, actually incurred in connection therewith.
          Section 2.6 Foreign Lenders.
          Any Lender that is not a United States “person” within the meaning of Section 7701(a)(30) of the Code (a Non-U.S. Lender) shall deliver to Borrower, upon making the Loan or accepting an assignment of the Loan or any interest therein, two duly completed and signed copies of IRS Form W-8BEN, IRS Form W-8ECI or IRS Form W-8IMY or any successor form thereto (relating to such Non-U.S. Lender and entitling it to an exemption from, or reduction of, withholding tax on all payments to be made to such Non-U.S. Lender by Borrower) or such other evidence satisfactory to Borrower that such Non-U.S. Lender is entitled to an exemption from, or reduction of, U.S. withholding tax. A Form W-8BEN completed and delivered by (i) certain foreign trusts, or (ii) persons claiming an exemption or reduced rate of withholding at source under an income tax treaty will not be considered duly completed unless the Form W-8BEN contains such Person’s U.S. taxpayer identification number. Thereafter and from time to time, such Non-U.S. Lender shall (a) upon reasonable requests from Borrower, submit to Borrower such additional duly completed and signed copies of one of such forms (or such successor forms as shall be adopted from time to time by the relevant United States taxing authorities) as may then be available under then current United States laws and regulations to avoid, or such evidence as is satisfactory to Borrower of any available exemption from or reduction of, United States withholding taxes in respect of all payments to be made to such Non-U.S. Lender, (b) notify Borrower of any change in circumstances which would to Lender’s actual knowledge, modify or render invalid any claimed exemption or reduction, and (c) upon reasonable requests from Borrower, take such steps as shall not be materially disadvantageous to it, in the reasonable judgment of such Non-U.S. Lender, and as may be reasonably necessary to

-25-


 

avoid any requirements that Borrower make any deduction or withholding for taxes from amounts payable to such Non-U.S. Lender. If such Non-U.S. Lender fails to deliver the above forms or other documentation reasonably satisfactory to Borrower evidencing complete exemption from U.S. federal withholding tax on all payments by Borrower under the Loan, or if for any reason Borrower is required by U.S. law to withhold U.S. income tax, then notwithstanding anything to the contrary in the Loan Documents, Borrower may withhold from any interest payment to such Non-U.S. Lender an amount equivalent to the applicable withholding tax imposed by Sections 1441 and 1442 of the Code and deduct such withholding from such payment.
          III. REPRESENTATIONS AND WARRANTIES
          Section 3.1 Borrower Representations.
          Borrower represents and warrants that:
          3.1.1 Organization.
          (a) Each of Borrower and each SPC Party is duly organized, validly existing and in good standing with full power and authority to own the Property and conduct its business, and is duly qualified in all jurisdictions in which the ownership or lease of the Property or the conduct of its business requires such qualification, except where the failure to be so qualified would not have a Material Adverse Effect on its ability to perform its obligations hereunder, and Borrower has taken all necessary action to authorize the execution, delivery and performance of this Agreement and the other Loan Documents by it, and has the power and authority to execute, deliver and perform under this Agreement, the other Loan Documents and all the transactions contemplated hereby.
          (b) Borrower’s exact legal name is correctly set forth in the first paragraph of this Agreement. Borrower is an organization of the type specified in the first paragraph of this Agreement. Borrower is incorporated or organized under the laws of the state specified in the first paragraph of this Agreement. Borrower’s principal place of business and chief executive office, and the place where Borrower keeps its books and records, including recorded data of any kind or nature, regardless of the medium of recording, including software, writings, plans, specifications and schematics, has been for the preceding four (4) months (or, if less than four (4) months, the entire period of the existence of Borrower) and will continue to be the address of Borrower set forth in the first paragraph of this Agreement (unless Borrower notifies Lender in writing at least thirty (30) days prior to the date of such change). Borrower’s organizational identification number, if any, assigned by the state of its incorporation or organization is 3830201. Borrower’s federal tax identification number is 20-1414039.
          3.1.2 Proceedings. This Agreement and the other Loan Documents have been duly authorized, executed and delivered by Borrower and constitute a legal, valid and binding obligation of Borrower, enforceable against Borrower in accordance with their respective terms, except as such enforcement may be limited by bankruptcy, insolvency, reorganization, moratorium or other similar laws affecting the enforcement of creditors’ rights generally, and by

-26-


 

general principles of equity (regardless of whether such enforceability is considered in a proceeding in equity or at law).
           3.1.3 No Conflicts. The execution and delivery of this Agreement and the other Loan Documents by Borrower and the performance of its obligations hereunder and thereunder will not conflict with any provision of any law or regulation to which Borrower is subject, or conflict with, result in a breach of, or constitute a default under, any of the terms, conditions or provisions of any of Borrower’s organizational documents or any agreement or instrument to which Borrower is a party or by which it is bound, or any order or decree applicable to Borrower, or result in the creation or imposition of any lien on any of Borrower’s assets or property (other than pursuant to the Loan Documents).
          3.1.4 Litigation. There is no action, suit, proceeding or investigation pending or, to Borrower’s knowledge, threatened against Borrower in any court or by or before any other Governmental Authority that would have a Material Adverse Effect.
          3.1.5 Agreements. Borrower is not a party to any agreement or instrument or subject to any restriction which would have a Material Adverse Effect. Borrower is not in default in any material respect in the performance, observance or fulfillment of any of the obligations, covenants or conditions contained in any agreement or instrument to which it is a party or by which Borrower or the Property is bound. Borrower has no material financial obligation under any agreement or instrument to which Borrower is a party or by which Borrower or the Property is otherwise bound, other than (a) obligations incurred in the ordinary course of the operation of the Property and (b) obligations under the Loan Documents.
          3.1.6 Consents. No consent, approval, authorization or order of any court or Governmental Authority is required for the execution, delivery and performance by Borrower of, or compliance by Borrower with, this Agreement or the consummation of the transactions contemplated hereby, other than those which have been obtained by Borrower.
          3.1.7 Title. Borrower has good, marketable and insurable fee simple title to the real property comprising part of the Property and good title to the balance of the Property, free and clear of all Liens whatsoever except the Permitted Encumbrances. The Mortgage, when properly recorded in the appropriate records, will create (a) a valid, first priority, perfected lien on the Property, subject only to Permitted Encumbrances and (b) perfected security interests in and to, and perfected collateral assignments of, all personalty (including the Leases), all in accordance with the terms thereof, in each case subject only to any Permitted Encumbrances. There are no mechanics’, materialman’s or other similar liens or claims which have been filed for work, labor or materials affecting the Property which are or may be liens prior to, or equal or coordinate with, the lien of the Mortgage. None of the Permitted Encumbrances, individually or in the aggregate, materially interfere with the benefits of the security intended to be provided by the Mortgage and this Loan Agreement, materially and adversely affect the value of the Property, impair the use or operations of the Property or impair Borrower’s ability to pay its obligations in a timely manner.
          3.1.8 No Plan Assets. As of the date hereof and throughout the term of the Loan (a) Borrower is not and will not be an “employee benefit plan,” as defined in Section 3(3)

-27-


 

of ERISA, subject to Title I of ERISA, (b) none of the assets of Borrower constitutes or will constitute “plan assets” of one or more such plans within the meaning of 29 C.F.R. Section 2510.3-101, (c) Borrower is not and will not be a “governmental plan” within the meaning of Section 3(32) of ERISA, and (d) transactions by or with Borrower are not and will not be subject to any state statute regulating investments of, or fiduciary obligations with respect to, governmental plans.
          3.1.9 Compliance. To the best of Borrower’s knowledge, Borrower and the Property and the use thereof comply in all material respects with all applicable Legal Requirements, including, without limitation, building and zoning ordinances and codes. To the best of Borrower’s knowledge, Borrower is not in default or violation of any order, writ, injunction, decree or demand of any Governmental Authority, the violation of which would have a Material Adverse Effect. There has not been and shall never be committed by Borrower or any other person in occupancy of or involved with the operation or use of the Property any act or omission affording the federal government or any state or local government the right of forfeiture as against the Property or any part thereof or any monies paid in performance of Borrower’s obligations under any of the Loan Documents. Borrower hereby covenants and agrees not to commit, permit or suffer to exist any act or omission affording such right of forfeiture.
          3.1.10 Financial Information. To the best of Borrower’s knowledge, all financial data, including, without limitation, the statements of cash flow and income and operating expense, that have been delivered to Lender in respect of the Property (i) are true, complete and correct in all material respects, (ii) accurately represent the financial condition of the Property as of the date of such reports, and (iii) have been prepared in accordance with GAAP or such other accounting method that may be acceptable to Lender) throughout the periods covered, except as disclosed therein. Borrower does not have any contingent liabilities, liabilities for taxes, unusual forward or long-term commitments or unrealized or anticipated losses from any unfavorable commitments that are known to Borrower and reasonably likely to have a Material Adverse Effect. Since the date of the most current financial statements delivered by Borrower to Lender, there has been no material adverse change in the financial condition, operations or business of Borrower or, to Borrower’s knowledge, the Property from that set forth in said financial statements.
          3.1.11 Condemnation. No Condemnation or other proceeding has been commenced or, to Borrower’s best knowledge, is threatened with respect to all or any portion of the Property or for the relocation of roadways providing access to the Property.
          3.1.12 Utilities and Public Access. The Property has rights of access to public ways and is served by water, sewer, sanitary sewer and storm drain facilities adequate to service the Property for its intended uses.
          3.1.13 Separate Lots. The Property is comprised of one (1) or more parcels which constitute separate tax lots and do not constitute a portion of any other tax lot not a part of the Property.
          3.1.14 Assessments. To Borrower’s knowledge, there are no pending or proposed special or other assessments for public improvements or otherwise affecting the

-28-


 

Property, nor are there any contemplated improvements to the Property that may result in such special or other assessments.
          3.1.15 No Defenses. The Loan Documents are not subject to any right of rescission, set off, counterclaim or defense by Borrower, including the defense of usury, nor would the operation of any of the terms of the Loan Documents, or the exercise of any right thereunder, render the Loan Documents unenforceable, and Borrower has not asserted any right of rescission, set off, counterclaim or defense with respect thereto.
          3.1.16 Assignment of Leases. The Assignment of Leases creates a valid assignment of, or a valid security interest in, certain rights under the Leases, subject only to a license granted to Borrower to exercise certain rights and to perform certain obligations of the lessor under the Leases, as more particularly set forth therein. No Person other than Lender has any interest in or assignment of the Leases or any portion of the Rents due and payable or to become due and payable thereunder.
          3.1.17 Insurance. Borrower has obtained and has delivered to Lender original or certified copies of all of the Policies, with all premiums prepaid thereunder, reflecting the insurance coverages, amounts and other requirements set forth in this Agreement. No claims have been made under any of the Policies, and no Person, including Borrower, has done, by act or omission, anything which would impair the coverage of any of the Policies.
          3.1.18 Licenses. To the best of Borrower’s knowledge, all permits and approvals, including, without limitation, certificates of occupancy required by any Governmental Authority for the use, occupancy and operation of the Property in the manner in which the Property is currently being used, occupied and operated have been obtained and are in full force and effect.
          3.1.19 Flood Zone. Except as disclosed on the Survey, none of the Improvements on the Property is located in an area identified by the Federal Emergency Management Agency as a special flood hazard area.
          3.1.20 Physical Condition. Except as set forth in any property condition or engineering report delivered to and reviewed by Lender in connection with the Loan, and, to Borrower’s knowledge, the Property, including, without limitation, all buildings, improvements, parking facilities, sidewalks, storm drainage systems, roofs, plumbing systems, HVAC systems, fire protection systems, electrical systems, equipment, elevators, exterior sidings and doors, landscaping, irrigation systems and all structural components, are in good condition, order and repair in all material respects; except as set forth in any property condition or engineering report delivered to and reviewed by lender in connection with the Loan, and, to Borrower’s knowledge, there exists no structural or other material defects or damages in the Property, whether latent or otherwise, and Borrower has not received notice from any insurance company or bonding company of any defects or inadequacies in the Property, or any part thereof, which would adversely affect the insurability of the same or cause the imposition of extraordinary premiums or charges thereon or of any termination or threatened termination of any policy of insurance or bond.

-29-


 

          3.1.21 Boundaries. Except as set forth in the Survey and in Lender’s Title Insurance policy, all of the improvements which were included in determining the appraised value of the Property lie wholly within the boundaries and building restriction lines of the Property, and no improvements on adjoining properties encroach upon the Property, and no easements or other encumbrances affecting the Property encroach upon any of the improvements, so as to affect the value or marketability of the Property except those which are insured against by Title Insurance each of which, whether or not insured are shown on the Survey.
          3.1.22 Leases. Borrower represents and warrants to Lender with respect to the Leases that: (a) the rent roll attached hereto as Schedule I is true, complete and correct and the Property is not subject to any Leases other than the Leases described in Schedule I, (b) the Leases identified on Schedule I are in full force and effect and there are no defaults thereunder by either party except as otherwise set forth in an estoppel certificate executed by the applicable Tenant delivered to Lender prior to the date hereof, (c) the copies of the Leases delivered to Lender are true and complete in all material respects, and there are no oral agreements with respect thereto except as otherwise set forth in an estoppel certificate executed by the applicable Tenant delivered to Lender prior to the date hereof, (d) no Rent (including security deposits) has been paid more than one (1) month in advance of its due date except as otherwise set forth in an estoppel certificate executed by the applicable Tenant delivered to Lender prior to the date hereof, (e) all work to be performed by Borrower under each Lease has been performed as required and has been accepted by the applicable Tenant except as otherwise set forth in an estoppel certificate executed by the applicable Tenant delivered to Lender prior to the date hereof, (f) any payments, free rent, partial rent, rebate of rent or other payments, credits, allowances or abatements required to be given by Borrower to any Tenant has already been received by such Tenant except as otherwise set forth in an estoppel certificate executed by the applicable Tenant delivered to Lender prior to the date hereof, (g) all security deposits are being held in accordance with Legal Requirements, (h) neither the landlord nor any Tenant is in default under any of the Leases except as otherwise set forth in an estoppel certificate executed by the applicable Tenant delivered to Lender prior to the date hereof; (i) Borrower has no knowledge of any notice of termination or default with respect to any Lease; (j) Borrower has not assigned or pledged any of the Leases, the rents or any interests therein except to Lender; (k) no Tenant or other party has an option or right of first refusal or offer, to purchase all or any portion of the Property (other than the Stop and Shop Lease, which right of first refusal has been waived by Stop and Shop pursuant to that certain Notice of Waiver of Right of First Refusal dated October 28, 2004); (l) no Tenant has the right to terminate its Lease prior to expiration of the stated term of such Lease; and (m) all existing Leases are subordinate to the Mortgage either pursuant to their terms or a recordable subordination agreement delivered concurrently herewith, or delivered hereafter as approved by Lender.
          3.1.23 Filing and Recording Taxes. All transfer taxes, deed stamps, intangible taxes or other amounts in the nature of transfer taxes required to be paid under applicable Legal Requirements in connection with the transfer of the Property to Borrower have been paid or are being paid simultaneously herewith. All mortgage, mortgage recording, stamp, intangible or other similar tax required to be paid under applicable Legal Requirements in connection with the execution, delivery, recordation, filing, registration, perfection or enforcement of any of the Loan Documents, including, without limitation, the Mortgage, have been paid or are being paid

-30-


 

simultaneously herewith. All taxes and governmental assessments due and owing in respect of the Property have been paid, or an escrow of funds in an amount sufficient to cover such payments has been established hereunder.
          3.1.24 Single Purpose. Borrower hereby represents and warrants to, and covenants with, Lender that as of the date hereof and until such time as the Debt shall be paid in full, Borrower has not at any time, does not presently, and shall not:
          (a) own any asset or property other than (i) the Property, and (ii) incidental personal property necessary for the ownership or operation of the Property;
          (b) engage in any business other than the ownership, management and operation of the Property or fail to conduct and operate its business as presently conducted and operated;
          (c) enter into any contract or agreement with any Affiliate of Borrower, any constituent party of Borrower or any Affiliate of any constituent party, except upon terms and conditions that are intrinsically fair and substantially similar to those that would be available on an arms-length basis with third parties other than any such party;
          (d) incur any Indebtedness other than (i) the Debt, (ii) unsecured trade payables and operational debt not evidenced by a note and in an aggregate amount not exceeding $1,000,000.00 at any one time, and (iii) Indebtedness incurred in the financing of equipment and other personal property used on the Property with annual payments not exceeding $500,000.00 in the aggregate; provided that any Indebtedness incurred pursuant to subclauses (ii) and (iii) shall be (x) paid within sixty (60) days of the date incurred and (y) incurred in the ordinary course of business. No Indebtedness other than the Debt may be secured (subordinate or pari passu) by the Property;
          (e) make any loans or advances to any third party (including any Affiliate or constituent party), or acquire obligations or securities of its Affiliates;
          (f) fail to remain solvent or fail to pay its debts and liabilities (including, as applicable, shared personnel and overhead expenses) from its assets as the same shall become due;
          (g) fail to do all things necessary to observe organizational formalities and preserve its existence, and Borrower will not, nor will Borrower permit any constituent party to amend, modify or otherwise change the partnership certificate, partnership agreement, articles of incorporation and bylaws, operating agreement, trust or other organizational documents of Borrower or such constituent party without the reasonable prior consent of Lender in any manner that (i) violates the covenants set forth in this Section 3.1.24, or (ii) amends, modifies or otherwise changes any provision thereof that by its terms cannot be modified at any time when the Loan is outstanding or by its terms cannot be modified without Lender’s consent;
          (h) fail to maintain all of its books, records, financial statements and bank accounts separate from those of its Affiliates and any constituent party. Borrower’s assets will not be listed as assets on the financial statement of any other Person, provided, however, that

-31-


 

Borrower’s assets may be included in a consolidated financial statement of its Affiliates provided that (i) appropriate notation shall be made on such consolidated financial statements to indicate the separateness of Borrower and such Affiliates and to indicate that Borrower’s assets and credit are not available to satisfy the debts and other obligations of such Affiliates or any other Person and (ii) such assets shall be listed on Borrower’s own separate balance sheet. Borrower will file its own tax returns (to the extent Borrower is required to file any such tax returns) and will not file a consolidated federal income tax return with any Person other than Cedar Shopping Centers Inc. Borrower shall maintain its books, records, resolutions and agreements as official records;
          (i) fail to be, or fail to hold itself out to the public as, a legal entity separate and distinct from any other entity (including any Affiliate of Borrower or any constituent party of Borrower), fail to correct any known misunderstanding regarding its status as a separate entity, fail to conduct business in its own name, or fail to maintain and utilize separate stationery, invoices and checks bearing its own name, and Borrower shall not identify itself or any of its Affiliates as a division or part of the other;
          (j) intentionally omitted;
          (k) seek or effect the liquidation, dissolution, winding up, liquidation, consolidation or merger, in whole or in part, of Borrower nor permit any constituent party of Borrower to do any of the foregoing;
          (l) commingle the funds and other assets of Borrower with those of any Affiliate or constituent party or any other Person, and will hold all of its assets in its own name;
          (m) fail to maintain its assets in such a manner that it will not be costly or difficult to segregate, ascertain or identify its individual assets from those of any Affiliate or constituent party or any other Person;
          (n) guarantee or become obligated for the debts of any other Person or hold itself out to be responsible for or have its credit available to satisfy the debts or obligations of any other Person;
          (o) (i) If Borrower is a limited partnership or a limited liability company (other than a single member limited liability company), fail to cause each general partner or managing member (each, an SPC Party) to be a corporation whose sole asset is its interest in Borrower and each such SPC Party will at all times comply, and will cause Borrower to comply, with each of the representations, warranties, and covenants contained in this Section 3.1.24 as if such representation, warranty or covenant was made directly by such SPC Party. Upon the withdrawal or the disassociation of an SPC Party from Borrower, Borrower shall immediately appoint a new SPC Party whose articles of incorporation are substantially similar to those of such SPC Party and deliver a new non-consolidation opinion to the Rating Agency or Rating Agencies, as applicable, with respect to the new SPC Party and its equity owners;
     (ii) If Borrower is a single member limited liability company, fail to have at least two (2) springing members, one of which, upon the dissolution of such sole member or the withdrawal or the disassociation of the sole member from Borrower, shall immediately become the sole member of Borrower, and the other of which shall become

-32-


 

the sole member of Borrower if the first such springing member no longer is available to serve as such sole member.
          (p) fail to cause there to be one duly appointed member of the board of directors who are provided by a nationally recognized company that provides professional independent directors (each, an Independent Director) of Borrower reasonably satisfactory to Lender who shall not have been at the time of such individual’s appointment or at any time while serving as a director of Borrower, and may not have been at any time during the preceding five years (i) a stockholder, director (other than as an Independent Director), officer, employee, partner, attorney or counsel of Borrower or any Affiliate of either of them, (ii) a customer, supplier or other Person who derives any of its purchases or revenues from its activities with Borrower or any Affiliate (other than payment for services as an Independent Director), (iii) a Person or other entity controlling or under common control with any such stockholder, partner, customer, supplier or other Person, or (iv) a member of the immediate family of any such stockholder, director, officer, employee, partner, customer, supplier or other Person. (For purposes of this subclause (p), the term “Affiliate” means any person controlling, under common control with, or controlled by the person in question; and the term “control” means the possession, directly or indirectly, of the power to direct or cause the direction of management, policies or activities of a person or entity, whether through ownership of voting securities, by contract or otherwise.) A natural person who satisfies the foregoing definition other than subparagraph (ii) shall not be disqualified from serving as an Independent Director if such individual is an independent director provided by a nationally-recognized company that provides professional independent directors and that also provides other corporate services in the ordinary course of its business. A natural person who otherwise satisfies the foregoing definition except for being the independent director of a “special purpose entity” affiliated with the borrower that does not own a direct or indirect equity interest in the borrower or any co-borrower shall not be disqualified from serving as an Independent Director of the SPC Party if such individual is at the time of initial appointment, or at any time while serving as a Independent Director of the SPC Party, an Independent Director of a “special purpose entity” affiliated with the Borrower or the SPC Party (other than any entity that owns a direct or indirect equity interest in borrower or any co-borrower) if such individual is an independent director provided by a nationally-recognized company that provides professional independent directors. For purposes of this paragraph, a “special purpose entity” is an entity, whose organizational documents contain restrictions on its activities substantially similar to those set forth in the SPC Party’s organizational documents.
          (q) cause or permit the board of directors of Borrower to take any action which, under the terms of any certificate of incorporation, by laws or any voting trust agreement with respect to any common stock or under any organizational document of Borrower, requires a vote of the board of directors of each SPC Party and Borrower unless at the time of such action there shall be at least one (1) member who is an Independent Director.
          (r) intentionally omitted.
          (s) permit any Affiliate or constituent party independent access to its bank accounts.

-33-


 

          (t) fail to pay the salaries of its own employees (if any) from its own funds or fail to maintain a sufficient number of employees (if any) in light of its contemplated business operations.
          (u) fail to compensate each of its consultants and agents from its funds for services provided to it and pay from its own assets all obligations of any kind incurred.
          3.1.25 Tax Filings. To the extent required, Borrower has filed (or has obtained effective extensions for filing) all federal, state and local tax returns required to be filed and have paid or made adequate provision for the payment of all federal, state and local taxes, charges and assessments payable by Borrower. Borrower believes that its tax returns (if any) properly reflect the income and taxes of Borrower for the periods covered thereby, subject only to reasonable adjustments required by the Internal Revenue Service or other applicable tax authority upon audit.
          3.1.26 Solvency. Borrower (a) has not entered into the transaction or any Loan Document with the actual intent to hinder, delay, or defraud any creditor and (b) received reasonably equivalent value in exchange for its obligations under the Loan Documents. Giving effect to the Loan, the fair saleable value of Borrower’s assets exceeds and will, immediately following the making of the Loan, exceed Borrower’s total liabilities, including, without limitation, subordinated, unliquidated, disputed and contingent liabilities. The fair saleable value of Borrower’s assets is and will, immediately following the making of the Loan, be greater than Borrower’s probable liabilities, including the maximum amount of its contingent liabilities on its debts as such debts become absolute and matured. Borrower’s assets do not and, immediately following the making of the Loan will not, constitute unreasonably small capital to carry out its business as conducted or as proposed to be conducted. Borrower does not intend to, and does not believe that it will, incur Indebtedness and liabilities (including contingent liabilities and other commitments) beyond its ability to pay such Indebtedness and liabilities as they mature (taking into account the timing and amounts of cash to be received by Borrower and the amounts to be payable on or in respect of obligations of Borrower).
          3.1.27 Federal Reserve Regulations. No part of the proceeds of the Loan will be used for the purpose of purchasing or acquiring any “margin stock” within the meaning of Regulation U of the Board of Governors of the Federal Reserve System or for any other purpose which would be inconsistent with such Regulation U or any other Regulations of such Board of Governors, or for any purposes prohibited by Legal Requirements or by the terms and conditions of this Agreement or the other Loan Documents.
          3.1.28 Organizational Chart. The organizational chart attached as Schedule III hereto, relating to Borrower and certain Affiliates and other parties, is true, complete and correct on and as of the date hereof.
          3.1.29 Investment Company Act. Borrower is not (a) an “investment company” or a company “controlled” by an “investment company,” within the meaning of the Investment Company Act of 1940, as amended; (b) a “holding company” or a “subsidiary company” of a “holding company” or an “affiliate” of either a “holding company” or a “subsidiary company” within the meaning of the Public Utility Holding Company Act of 1935, as amended; or

-34-


 

(c) subject to any other federal or state law or regulation which purports to restrict or regulate its ability to borrow money.
          3.1.30 Access/Utilities. Except as disclosed in the Survey, all public utilities necessary to the continued use and enjoyment of the Property as presently used and enjoyed are located in the public right-of-way abutting the Property. All roads necessary for the full utilization of the Property for its current purpose have been completed and dedicated to public use and accepted by all governmental authorities or are the subject of access easements for the benefit of the Property.
          3.1.31 No Bankruptcy Filing. Borrower is not contemplating either the filing of a petition by it under any state or federal bankruptcy or insolvency laws or the liquidation of its assets or property, and Borrower does not have any knowledge of any Person contemplating the filing of any such petition against it.
          3.1.32 Full and Accurate Disclosure. To the best of Borrower’s knowledge, no information contained in this Agreement, the other Loan Documents, or any written statement furnished by or on behalf of Borrower pursuant to the terms of this Agreement contains any untrue statement of a material fact or omits to state a material fact necessary to make the statements contained herein or therein not misleading in light of the circumstances under which they were made. There is no fact or circumstance presently known to Borrower which has not been disclosed to Lender and which will have a Material Adverse Effect.
          3.1.33 Foreign Person. Borrower is not a “foreign person” within the meaning of Section 1445(f)(3) of the Code.
          3.1.34 No Change in Facts or Circumstances; Disclosure. To the best of Borrower’s knowledge, there has been no material adverse change in any condition, fact, circumstance or event that would make the financial statements, rent rolls, reports, certificates or other documents submitted in connection with the Loan inaccurate, incomplete or otherwise misleading in any material respect or that otherwise materially and adversely affects the business operations or the financial condition of Borrower or the Property.
          3.1.35 Perfection of Accounts. Borrower hereby represents and warrants to Lender that:
          (a) This Agreement, together with the other Loan Documents, create a valid and continuing security interest (as defined in the Uniform Commercial Code) in the Accounts (as defined in the Cash Management Agreement) in favor of Lender, which security interest is prior to all other Liens, and is enforceable as such against creditors of and purchasers from Borrower. Other than in connection with the Loan Documents, Borrower has not sold or otherwise conveyed the Accounts;
          (b) The Accounts constitute “deposit accounts” or “securities accounts” within the meaning of the Uniform Commercial Code, as set forth in the Cash Management Agreement;

-35-


 

          (c) Pursuant to the Cash Management Agreement, Agent has agreed to comply with all instructions originated by Lender, without further consent by Borrower, directing disposition of the Accounts and all sums at any time held, deposited or invested therein, together with any interest or other earnings thereon, and all proceeds thereof (including proceeds of sales and other dispositions), whether accounts, general intangibles, chattel paper, deposit accounts, instruments, documents or securities; and
          (d) The Accounts are not in the name of any Person other than Borrower, as pledgor, or Lender, as pledgee. Borrower has not consented to Agent’s complying with instructions with respect to the Accounts from any Person other than Lender.
          3.1.36 Intentionally Omitted.
          3.1.37 Intentionally Omitted.
          3.1.38 Patriot Act.
          (a) None of Borrower, any of its constituents or Affiliates, and to the best of Borrower’s knowledge, any of its brokers or other agents acting or benefiting in any capacity in connection with the Loan is a Prohibited Person.
          (b) None of Borrower, any of its constituents or Affiliates, or, to Borrower’s knowledge, any of its brokers or other agents acting in any capacity in connection with the Loan, (i) has conducted or will conduct any business or has engaged or will engage in any transaction or dealing with any Prohibited Person, including making or receiving any contribution of funds, goods or services to or for the benefit of any Prohibited Person, (ii) has dealt or will deal in, or otherwise has engaged or will engage in any transaction relating to, any property or interests in property blocked pursuant to the Executive Order; or (iii) has engaged or will engage in or has conspired or will conspire to engage in any transaction that evades or avoids, or has the purpose of evading or avoiding, or attempts to violate, any of the prohibitions set forth in the Executive Order or the Patriot Act.
          (c) Borrower covenants and agrees to deliver to Lender any certification or other evidence requested from time to time by Lender in its reasonable discretion, confirming Borrower’s compliance with this Section 3.1.38.
          Section 3.2 Survival of Representations.
          The representations and warranties set forth in Section 3.1 shall survive for so long as any amount remains payable to Lender under this Agreement or any of the other Loan Documents.
          IV. BORROWER COVENANTS
          Section 4.1 Borrower Affirmative Covenants.
          Borrower hereby covenants and agrees with Lender that:

-36-


 

          4.1.1 Existence; Compliance with Legal Requirements. Borrower shall do or cause to be done all things necessary to preserve, renew and keep in full force and effect its existence, rights, licenses, permits and franchises and comply with all Legal Requirements applicable to it and the Property.
          4.1.2 Taxes and Other Charges. Except as otherwise provided herein, Borrower shall pay all Taxes and Other Charges now or hereafter levied or assessed or imposed against the Property or any part thereof as the same become due and payable; provided, however, Borrower’s obligation to directly pay Taxes shall be suspended for so long as Borrower complies with the terms and provisions of Section 6.2 hereof. Borrower shall furnish to Lender receipts for the payment of the Taxes and the Other Charges prior to the date the same shall become delinquent; provided, however, that Borrower is not required to furnish such receipts for payment of Taxes in the event that such Taxes have been paid by Lender pursuant to Section 6.2 hereof. Borrower shall not permit or suffer and shall promptly discharge any lien or charge against the Property. After prior notice to Lender, Borrower, at its own expense, may contest by appropriate legal proceeding, conducted in good faith and with due diligence, the amount or validity of any Taxes or Other Charges, provided that (a) no Default or Event of Default has occurred and remains uncured; (b) such proceeding shall be permitted under and be conducted in accordance with all applicable statutes, laws and ordinances; (c) neither the Property nor any part thereof or interest therein will be in danger of being sold, forfeited, terminated, canceled or lost; (d) Borrower shall promptly upon final determination thereof pay the amount of any such Taxes or Other Charges, together with all costs, interest and penalties which may be payable in connection therewith; (e) such proceeding shall suspend the collection of Taxes or Other Charges from the Property; (f) Borrower shall deposit with Lender cash, or other security as may be reasonably approved by Lender, in an amount equal to one hundred twenty-five percent (125%) of the contested amount, to insure the payment of any such Taxes or Other Charges, together with all interest and penalties thereon; and (g) such contest by Borrower is not in violation of Leases or Operating Agreements. Lender may pay over any such cash or other security held by Lender to the claimant entitled thereto at any time when, in the judgment of Lender, the entitlement of such claimant is established.
          4.1.3 Litigation. Borrower shall give prompt notice to Lender of any litigation or governmental proceedings pending or, upon discovery by Borrower, threatened against Borrower which if adversely determined would have a Material Adverse Effect.
          4.1.4 Access to Property. Borrower shall permit agents, representatives and employees of Lender to inspect the Property or any part thereof at reasonable hours upon reasonable advance notice, provided that such inspection is conducted in a manner that minimizes interference with Tenants and the operation of the Property.
          4.1.5 Intentionally Omitted.
          4.1.6 Financial Reporting.
          (a) GAAP. Borrower shall keep and maintain or shall cause to be kept and maintained, consistent with GAAP (or any other accounting basis that is reasonably acceptable to Lender) proper and accurate books, records and accounts reflecting all of the financial affairs of

-37-


 

Borrower and all items of income and expense in connection with the operation on an individual basis of the Property. All financial statements delivered to Lender consistent with this Section 4.1.6 shall be prepared consistent with GAAP in the United States of America as in effect on the date so indicated and consistently applied.
          (b) Monthly Reports. Prior to a Securitization, within thirty (30) days after the end of each calendar month, if requested by Lender Borrower, shall furnish to Lender a current (as of the calendar month just ended) balance sheet, a detailed operating statement (showing monthly activity and year to date) stating gross income from operations, operating expenses, for the calendar month just ended, a rent roll for the subject month and, as requested by Lender, any other documentation supporting the information disclosed in the most recent financial statements. In addition, such statement shall also be accompanied by (i) a calculation reflecting the Debt Service Coverage Ratio as of the last day of such month for such month and (ii) a certificate of an officer of Borrower or the general partner of Borrower stating that the representations and warranties of Borrower set forth in Section 3.1.24 are true and correct as of the date of such certificate and that there are no trade payables outstanding for more than sixty (60) days.
          (c) Quarterly Reports. Within forty five (45) days after the end of each calendar quarter, Borrower shall furnish to Lender a detailed operating statement (showing quarterly activity and year to date) stating gross income and operating expenses for the calendar quarter just ended and a balance sheet (which also reports capital expenditures) for such quarter for Borrower. Borrower’s quarterly statements shall be accompanied by (i) a current rent roll for the Property and (ii) a summary report for the most recently completed calendar year of aggregate sales by tenants under Leases of the Property, to the extent such information is provided by Tenants and/or required under the their Leases, and (iii) a certificate executed by an officer of Borrower or the general partner of Borrower stating that each such quarterly statement presents fairly the financial condition and the results of operations of the Borrower and the Property and has been prepared consistent with general accepted accounting principles.
          (d) Annual Reports. Within seventy five (75) days after the end of each calendar year of Borrower’s operation of the Property, Borrower will furnish to Lender a complete copy of Borrower’s annual financial statements prepared by Borrower (or, if required by Lender, audited by Ernst & Young LLP or other firm of independent certified public accountants acceptable to Lender), consistent with GAAP for such calendar year which financial statements shall contain a balance sheet, a detailed operating statement stating gross income, operating expenses for each of Borrower and the Property. Borrower’s annual financial statements shall be accompanied by (i) a certificate executed by an officer of Borrower or the managing member of Borrower stating that each such annual financial statement presents fairly the financial condition and the results of operations of Borrower and the Property and has been prepared consistent with general accepted accounting principles, and (ii) if required by Lender, an unqualified opinion of Ernst & Young LLP or other firm of independent certified public accountants acceptable to Lender (notwithstanding the foregoing, Borrower’s financial statements may be consolidated with its Affiliates, provided that Borrower also provides appropriate schedules to report the amounts applicable to the Borrower and the Property).

-38-


 

          (e) Certification; Supporting Documentation. Each such financial statement shall be in scope and detail reasonably satisfactory to Lender and certified by an officer of Borrower.
          (f) Additional Reports. Borrower shall deliver to Lender as soon as reasonably available but in no event later than thirty (30) days after such items become available to Borrower in final form:
     (i) copies of any final engineering or environmental reports prepared for Borrower with respect to the Property;
     (ii) a copy of any notice received by Borrower from any environmental authority having jurisdiction over the Property with respect to a violation of any environmental law applicable to the Property other than the Exxon Remediation;
     (iii) a summary report containing each of the following with respect to the Property for the most recently completed calendar year: (A) aggregate sales by Tenants under Leases or other occupants of the Property (only to the extent such information is provided by Tenants, and/or required under Leases) and on a comparable store basis), (B) rent per square foot payable by each tenant and (C) aggregate occupancy of the Property by anchor space and in-line store space as of December 31; and
     (iv) if requested by Lender, a summary report listing only Tenants and square footage occupied by such Tenants.
          (g) Access. Lender shall have the right from time to time upon reasonable prior written notice to Borrower, at all times during normal business hours to examine such books, records and accounts at the office of Borrower or other Person maintaining such books, records and accounts and to make such copies or extracts thereof as Lender shall reasonably desire. After the occurrence of an Event of Default, Borrower shall pay any costs and expenses incurred by Lender to examine Borrower’s records with respect to the Property, as Lender shall determine to be reasonably necessary or appropriate in the protection of Lender’s interest.
          (h) Format of Delivery. Any reports, statements or other information required to be delivered under this Agreement shall be delivered (i) in paper form, (ii) on a diskette, and (iii) if requested by Lender and within the capabilities of Borrower’s data systems without change or modification thereto, in electronic form reasonably acceptable to Lender.
          (i) Annual Budget. Borrower shall submit the Annual Budget to Lender not later than twenty (20) days prior to the commencement of each Fiscal Year.
          (j) Other Required Information. Borrower shall furnish to Lender, within five (5) Business Days after request (or as soon thereafter as may be reasonably possible), such further detailed information with respect to the operation of the Property and the financial affairs of Borrower as may be reasonably requested by Lender, provided that Borrower has such information available.

-39-


 

          4.1.7 Title to the Property. Borrower will warrant and defend the validity and priority of the Liens of the Mortgage and the Assignment of Leases on the Property against the claims of all Persons whomsoever, subject only to Permitted Encumbrances.
          4.1.8 Estoppel Statement.
          (a) After request by Lender (not more than one (1) time in any calendar year provided no Event of Default exists), Borrower shall within ten (10) Business Days furnish Lender with a statement, duly acknowledged and certified, stating (i) the unpaid principal amount of the Note, (ii) the Interest Rate of the Note, (iii) the date installments of interest were last paid, (iv) any offsets or defenses to the payment of the Debt, if any, and (v) that this Agreement and the other Loan Documents have not been modified or if modified, giving particulars of such modification.
          (b) Borrower shall endeavor to deliver to Lender, within forty-five (45) days after request, an estoppel certificate from each Tenant under any Lease (provided that Borrower shall only be required to use commercially reasonable efforts to obtain an estoppel certificate from any Tenant not required to provide an estoppel certificate under its Lease); provided that such certificate shall be in the form required under such Lease; provided further that Borrower shall not be required to deliver such certificates more frequently than two (2) times in any calendar year.
          4.1.9 Leases.
          (a) All Leases and other rental arrangements shall in all material respects be approved by Lender and shall be on a standard Lease form previously approved by Lender with no modifications (except as approved by Lender). Such Lease form shall provide that (i) the Lease is subordinate to the Mortgage, (ii) the tenant shall attorn to Lender, and (iii) that any cancellation, surrender, or amendment of such Lease without the prior written consent of Lender shall be voidable by Lender. Borrower shall hold, in trust, all tenant security deposits in a segregated account, and, to the extent required by applicable law, shall not commingle any such funds with any other funds of Borrower. Within ten (10) days after Lender’s request, Borrower shall furnish to Lender a statement of all tenant security deposits, and copies of all Leases not previously delivered to Lender, certified by Borrower as being true and correct in all material respects. Notwithstanding anything contained in the Loan Documents, Lender’s approval shall not be required for future Leases, Lease modifications, or Lease extensions if the following conditions are satisfied: (A) no Event of Default has occurred and is continuing; (B) the Lease is on the standard Lease form approved by Lender with no modifications except for commercially reasonable modifications agreed to in the ordinary course of Borrower’s business, but in no event shall there be any material modifications to the subordination, attornment, estoppel and landlord liability clauses of such Lease without the prior written consent of Lender, which consent shall not be unreasonably withheld, conditioned or delayed; (C) the Lease does not violate any restrictive covenant affecting the Property or any other Lease for space in the Property; (D) the Lease is not a Major Lease; (E) the Lease shall provide for rental rates and landlord concessions comparable to existing local market rates and shall be an arms length transaction and in no event be with an Affiliate of Borrower; (F) the Lease shall be to a tenant which Borrower, in its professional and commercially reasonably judgment, has determined is creditworthy; and (G) the

-40-


 

Lease is for a term of not more than ten (10) years (exclusive of renewal options, which together with the initial lease term shall not exceed fifteen (15) years). Lender shall execute and deliver a Subordination Non-Disturbance and Attornment Agreement in the form annexed hereto as Schedule IV to Tenants under future Major Lease approved by Lender promptly upon request with such commercially reasonable changes as may be requested by Tenants, from time to time, and which are reasonably acceptable to Lender.
          (b) Borrower (i) shall perform the obligations which Borrower is required to perform under the Leases; (ii) shall enforce the obligations to be performed by the tenants; (iii) shall promptly furnish to Lender any notice of default or termination received by Borrower from any tenant, and any notice of default or termination given by Borrower to any tenant; (iv) shall not collect any rents for more than thirty (30) days in advance of the time when the same shall become due, except for bona fide security deposits not in excess of an amount equal to two months rent; (v) shall not enter into any ground Lease or master Lease of any part of the Property; (vi) shall not further assign or encumber any Lease; (vii) shall not, except with Lender’s prior written consent, cancel or accept surrender or termination of any Lease, except as expressly set forth in Section 4.1.9(c) hereof, and (viii) any Lease termination or cancellation fees shall be paid to Lender and held in the Rollover Fund. Any action in violation of clauses (v), (vi), (vii), and (viii) of this Section 4.1.9(b) shall be void at the election of Lender.
          (c) Notwithstanding anything to the contrary contained herein, Borrower shall have the right to terminate any Lease which is not a Major Lease, provided such termination is (i) commercially reasonable, (ii) made in accordance with Borrower’s reasonable business judgment, and (iii) the Lease so terminated is replaced with a Lease which otherwise complies with the requirements set forth in this Section 4.1.9.
          (d) Notwithstanding anything to the contrary contained in this Section 4.1.9, whenever Lender’s approval or consent is required pursuant to the provisions of this Section 4.1.9 for any matter that Lender has not previously approved, Lender shall respond within ten (10) Business Days after Lender’s receipt of Borrower’s written request for such approval or consent. If Lender fails to respond to such request within five (5) Business Days, and Borrower sends a second request containing a legend in bold letters stating that Lender’s failure to respond within five (5) Business Days shall be deemed consent or approval, Lender shall be deemed to have approved or consented to the matter for which Lender’s consent or approval was sought if Lender fails to respond to such second written request before the expiration of such second five (5) Business Days period.
          4.1.10 Alterations. Lender’s prior approval shall be required in connection with any alterations to any Improvements (except tenant improvements under any Lease approved by Lender or under any Lease for which approval was not required by Lender under this Agreement) (a) adversely affecting structural components of the Property, utilities, HVAC or the exterior of the building, (b) that may have a Material Adverse Effect or (c) the cost of which (including any related alteration, improvement or replacement) is reasonably anticipated to exceed the Alteration Threshold, which approval may be granted or withheld in Lender’s reasonable discretion. If the total unpaid amounts incurred and to be incurred with respect to such alterations to the Improvements shall at any time exceed the Alteration Threshold, Borrower shall promptly deliver to Lender as security for the payment of such amounts and as

-41-


 

additional security for Borrower’s obligations under the Loan Documents any of the following selected by Borrower: (i) cash, (ii) Letters of Credit, (iii) U.S. Obligations, (iv) other securities reasonably acceptable to Lender, provided that Lender shall have received a Rating Agency Confirmation as to the form and issuer of same, or (v) a completion bond, provided that Lender shall have received a Rating Agency Confirmation as to the form and issuer of same. Such security shall be in an amount equal to the excess of the total unpaid amounts incurred and to be incurred with respect to such alterations to the Improvements (other than such amounts to be paid or reimbursed by Tenants under the Leases) over the Alteration Threshold.
          4.1.11 Intentionally Omitted.
          4.1.12 Material Agreements. Borrower shall (a) promptly perform and/or observe all of the material covenants and agreements required to be performed and observed by it under each Material Agreement and Operating Agreement to which it is a party, and do all things necessary to preserve and to keep unimpaired its rights thereunder, (b) promptly notify Lender in writing of the giving of any notice of any default by any party under any Material Agreement and Operating Agreement of which it is aware which has a Material Adverse Effect on Borrower or the Property and (c) promptly enforce the performance and observance of all of the material covenants and agreements required to be performed and/or observed by the other party under each Material Agreement and Operating Agreement to which it is a party in a commercially reasonable manner.
          4.1.13 Performance by Borrower. Borrower shall in a timely manner observe, perform and fulfill each and every covenant, term and provision of each Loan Document executed and delivered by Borrower, and shall not enter into or otherwise suffer or permit any amendment, waiver, supplement, termination or other modification of any Loan Document executed and delivered by Borrower without the prior consent of Lender.
          4.1.14 Intentionally Omitted.
          4.1.15 Business and Operations. Borrower will continue to engage in the businesses currently conducted by it as and to the extent the same are necessary for the ownership and leasing of the Property. Borrower will qualify to do business and will remain in good standing under the laws of each jurisdiction as and to the extent the same are required for the ownership and leasing of the related Property. Borrower shall at all times cause the Property to be maintained as a commercial retail shopping center.
          4.1.16 Loan Fees. Borrower shall pay all fees and costs (including, without limitation, all origination and commitment fees) required of Borrower pursuant to the terms of that certain term sheet between Cedar Shoppings Center Partnership, L.P. and Lender dated September 30, 2004.
          4.1.17 Intentionally Omitted.
          4.1.18 Handicapped Access.
          (a) Borrower covenants and agrees that the Property shall at all times comply to the extent applicable with the requirements of the Americans with Disabilities Act of 1990, the

-42-


 

Fair Housing Amendments Act of 1988, all state and local laws and ordinances related to handicapped access and all rules, regulations, and orders issued pursuant thereto including, without limitation, the Americans with Disabilities Act Accessibility Guidelines for Buildings and Facilities (collectively, Access Laws).
          (b) Notwithstanding any provisions set forth herein or in any other document regarding Lender’s approval of alterations of the Property, Borrower shall not alter the Property in any manner which would materially increase Borrower’s responsibilities for compliance with the applicable Access Laws without the prior written approval of Lender. The foregoing shall apply to tenant improvements constructed by Borrower or by any of its tenants. Lender may condition any such approval upon receipt of a certificate of Access Law compliance from an architect, engineer, or other person acceptable to Lender.
          (c) Borrower covenants and agrees to give prompt notice to Lender of the receipt by Borrower of any complaints related to violation of any Access Laws and of the commencement of any proceedings or investigations which relate to compliance with applicable Access Laws.
          4.1.19 Intentionally Omitted.
          4.1.20 Notice of Certain Events. Borrower shall promptly notify Lender of (a) any Event of Default, together with a detailed statement of the steps being taken to cure such Default or Event of Default; (b) any notice of default received by Borrower under other obligations relating to the Property or otherwise material to Borrower’s business which, if determined adversely, would have a Material Adverse effect on Borrower or the Property; and (c) any threatened or pending legal, judicial or regulatory proceedings, including any dispute between Borrower and any Governmental Authority, affecting Borrower or the Property.
          4.1.21 Further Assurances. Borrower shall, at Borrower’s sole cost and expense, promptly (a) cure any defects in the execution and delivery of the Loan Documents, (b) execute and deliver, or cause to be executed and delivered, all such other documents, agreements and instruments as Lender may reasonably request to further evidence and more fully describe the collateral for the Loan, to correct any omissions in the Loan Documents, to perfect, protect or preserve any Liens created under any of the Loan Documents, or to make any recordings, file any notices, or obtain any consents, as may be necessary or appropriate in connection therewith provided such documents do not increase Borrower’s monetary obligations or decrease Borrower’s rights hereunder and (c) do all such further lawful and reasonable acts, conveyances and assurances for the better and more effectively carrying out of the intents and purposes of this Agreement and the other Loan Documents as Lender shall reasonably require from time to time, provided such documents do not increase Borrower’s monetary obligations or decrease Borrower’s rights hereunder. Upon the occurrence and during the continuation of an Event of Default, Borrower grants Lender an irrevocable power of attorney coupled with an interest for the purpose of exercising and perfecting any and all rights and remedies available to Lender under the Loan Documents, at law and in equity, including without limitation such rights and remedies available to Lender pursuant to Sections 10.2, 10.3, and 10.4.

-43-


 

          4.1.22 Taxes on Security. Borrower shall pay all taxes, charges, filing, registration and recording fees, excises and levies payable with respect to the Note or the Liens created or secured by the Loan Documents, other than income, franchise and doing business taxes imposed on Lender. If there shall be enacted any law (a) deducting the Loan from the value of the Property for the purpose of taxation, (b) affecting any Lien on the Property, or (c) changing existing laws of taxation of mortgages, deeds of trust, security deeds, or debts secured by real property, or changing the manner of collecting any such taxes, Borrower shall promptly pay to Lender, on demand, all taxes, costs and charges, other than income, franchise or doing business taxes, for which Lender is or may be liable as a result thereof; however, if such payment would be prohibited by law or would render the Loan usurious, then instead of collecting such payment, Lender may declare all amounts owing under the Loan Documents to be immediately due and payable without any prepayment penalty or fee.
          4.1.23 Stop and Shop Estoppel. On or before May 5, 2006, Borrower shall deliver evidence that Stop and Shop has commenced paying the unabated annual fixed rent set forth in the Stop and Shop Third Lease Amendment. If Borrower fails to comply with the provisions of this Section 4.1.23, then Borrower shall deliver the Additional Collateral to Lender to be held by Lender as additional security for the Loan to be deposited in an Account and maintained by Lender pursuant to the Cash Management Agreement. At the request of Lender, Borrower shall agree to reasonable amendments to the Cash Management Agreement to reflect that the deposit of the Additional Collateral and provide any and all other documentation reasonably required to perfect Lender’s security interest in the Additional Collateral. Any and all income earned on the Additional Collateral shall inure to the benefit of Borrower.
          Section 4.2 Borrower Negative Covenants.
          Borrower covenants and agrees with Lender that:
          4.2.1 Liens. Subject to Borrower’s right to contest in accordance with the express terms set forth in this Agreement, Borrower shall not create, incur, assume or suffer to exist any Lien on any portion of the Property except for Permitted Encumbrances.
          4.2.2 Dissolution. Except as expressly set forth in this Agreement, Borrower shall not (a) engage in any dissolution, liquidation or consolidation or merger with or into any other business entity, (b) transfer, lease or sell, in one transaction or any combination of transactions, all or substantially all of the property or assets of Borrower except to the extent expressly permitted by the Loan Documents, or (c) cause, permit or suffer any SPC Party to (i) dissolve, wind up or liquidate or take any action, or omit to take an action, as a result of which such SPC Party would be dissolved, wound up or liquidated in whole or in part, or (ii) amend, modify, waive or terminate the certificate of incorporation or bylaws of such SPC Party, in each case without obtaining the prior consent of Lender.
          4.2.3 Debt Cancellation. Borrower shall not cancel or otherwise forgive or release any claim or debt (other than termination of Leases in accordance herewith) owed to Borrower by any Person, except for adequate consideration and in the ordinary course of Borrower’s business.

-44-


 

          4.2.4 Zoning. Borrower shall not initiate or consent to any zoning reclassification of any portion of the Property or seek any variance under any existing zoning ordinance or use or permit the use of any portion of the Property in any manner that could result in such use becoming a non conforming use under any zoning ordinance or any other applicable land use law, rule or regulation, without the prior written consent of Lender, which shall not be unreasonably withheld, conditioned or delayed.
          4.2.5 No Joint Assessment. Borrower shall not suffer, permit or initiate the joint assessment of the Property (a) with any other real property constituting a tax lot separate from the Property, and (b) with any portion of the Property which may be deemed to constitute personal property, or any other procedure whereby the lien of any taxes which may be levied against such personal property shall be assessed or levied or charged to the Property.
          4.2.6 Principal Place of Business. Borrower shall not change its principal place of business from the address set forth on the first page of this Agreement without first giving Lender thirty (30) days prior notice.
          4.2.7 ERISA.
          (a) Borrower shall not engage in any transaction which would cause any obligation, or action taken or to be taken, hereunder (or the exercise by Lender of any of its rights under the Note, this Agreement or the other Loan Documents) to be a non-exempt (under a statutory or administrative class exemption) prohibited transaction under the Employee Retirement Income Security Act of 1974, as amended (“ERISA”) or Section 4975 of the Code.
          (b) Borrower shall deliver to Lender such certifications or other evidence from time to time throughout the term of the Loan, as requested by Lender in its sole discretion, that (i) Borrower is not an “employee benefit plan” as defined in Section 3(3) of ERISA, which is subject to Title I of ERISA, or a “plan” subject to Section 4975 of the Code, or a “governmental plan” within the meaning of Section 3(32) of ERISA; (ii) Borrower is not subject to any state statute regulating investments of, or fiduciary obligations with respect to, governmental plans; and (iii) one or more of the following circumstances is true:
          (A) Equity interests in Borrower are publicly offered securities, within the meaning of 29 C.F.R. §2510.3-101(b)(2);
          (B) Less than twenty-five percent (25%) of each outstanding class of equity interests in Borrower is held by “benefit plan investors” within the meaning of 29 C.F.R. §2510.3-101(f)(2); or
          (C) Borrower qualifies as an “operating company” or a “real estate operating company” within the meaning of 29 C.F.R. §2510.3-101(c) or (e).
          4.2.8 Material Agreements. Borrower shall not, without Lender’s reasonable consent: (a) enter into, surrender or terminate any Material Agreement or Operating Agreement to which it is a party (unless the other party thereto is in material default and the termination of such agreement would be commercially reasonable), (b) increase or consent to the increase of the amount of any charges under any Material Agreement or Operating Agreement to which it is a

-45-


 

party, except as provided therein or on an arms-length basis and commercially reasonable terms; or (c) otherwise modify, change, supplement, alter or amend, or waive or release any of its rights and remedies under any Material Agreement or Operating Agreement to which it is a party in any material respect, except on an arms’-length basis and commercially reasonable terms.
          4.2.9 Intentionally Deleted.
          4.2.10 Intentionally Omitted.
          V. INSURANCE, CASUALTY AND CONDEMNATION
          Section 5.1 Insurance.
          5.1.1 Insurance Policies.
          (a) Borrower shall obtain and maintain, or cause to be maintained, insurance for Borrower and the Property providing at least the following coverages:
     (i) comprehensive all risk insurance on the Improvements and the personal property at the Property (A) in an amount equal to one hundred percent (100%) of the “Full Replacement Cost,” which for purposes of this Agreement shall mean actual replacement value (exclusive of costs of excavations, foundations, underground utilities and footings) with a waiver of depreciation, but the amount shall in no event be less than the outstanding principal balance of the Loan; (B) containing an agreed amount endorsement with respect to the Improvements and personal property at the Property waiving all co-insurance provisions; (C) providing for no deductible in excess of Twenty Five Thousand and No/100 Dollars ($25,000.00) for all such insurance coverage; and (D) containing an “Ordinance or Law Coverage” or “Enforcement” endorsement if any of the Improvements or the use of the Property shall at any time constitute legal non-conforming structures or uses. In addition, Borrower shall obtain: (y) if any portion of the Improvements is currently or at any time in the future located in a federally designated “special flood hazard area,” flood hazard insurance in an amount equal to the lesser of (1) the outstanding principal balance of the Note or (2) the maximum amount of such insurance available under the National Flood Insurance Act of 1968, the Flood Disaster Protection Act of 1973 or the National Flood Insurance Reform Act of 1994, as each may be amended or such greater amount as Lender shall require; and (z) earthquake insurance in amounts and in form and substance satisfactory to Lender in the event the Property is located in an area with a high degree of seismic activity, provided that the insurance pursuant to clauses (y) and (z) hereof shall be on terms consistent with the comprehensive all risk insurance policy required under this subsection (i).
     (ii) commercial general liability insurance against claims for personal injury, bodily injury, death or property damage occurring upon, in or about the Property, such insurance (A) to be on the so-called “occurrence” form with an occurrence limit of not less than One Million and No/100 Dollars ($1,000,000.00) and an aggregate limit of not less than Two Million and No/100 Dollars ($2,000,000.00); (B) to continue at not less than the aforesaid limit until required to be changed by Lender by reason of changed

-46-


 

economic conditions making such protection inadequate; and (C) to cover at least the following hazards: (1) premises and operations; (2) products and completed operations on an “if any” basis; (3) independent contractors; (4) blanket contractual liability for all legal contracts; and (5) contractual liability covering the indemnities contained in Article 9 of the Mortgage to the extent the same is available;
     (iii) business income insurance (A) with loss payable to Lender; (B) covering all risks required to be covered by the insurance provided for in subsection (i) above for a period commencing at the time of loss for such length of time as it takes to repair or replace with the exercise of due diligence and dispatch; (C) containing an extended period of indemnity endorsement which provides that after the physical loss to the Improvements and Personal Property has been repaired, the continued loss of income will be insured until such income either returns to the same level it was at prior to the loss, or the expiration of twelve (12) months from the date that the Property is repaired or replaced and operations are resumed, whichever first occurs, and notwithstanding that the policy may expire prior to the end of such period; and (D) in an amount equal to one hundred percent (100%) of the projected gross income from the Property for a period from the date of loss to a date (assuming total destruction) which is six (6) months from the date that the Property is repaired or replaced and operations are resumed. The amount of such business income insurance shall be determined prior to the date hereof and at least once each year thereafter based on Borrower’s reasonable estimate of the gross income from the Property for the succeeding twelve (12) month period. Subject to Section 5.3.2 hereof, all proceeds payable to Lender pursuant to this subsection shall be held by Lender and shall be applied to the obligations secured by the Loan Documents from time to time due and payable hereunder and under the Note; provided, however, that nothing herein contained shall be deemed to relieve Borrower of its obligations to pay the obligations secured by the Loan Documents on the respective dates of payment provided for in the Note and the other Loan Documents except to the extent such amounts are actually paid out of the proceeds of such business income insurance;
     (iv) at all times during which structural construction, repairs or alterations are being made with respect to the Improvements, and only if the Property coverage form does not otherwise apply, (A) owner’s contingent or protective liability insurance covering claims not covered by or under the terms or provisions of the above mentioned commercial general liability insurance policy; and (B) the insurance provided for in subsection (i) above written in a so-called builder’s risk completed value form (1) on a non-reporting basis, (2) against all risks insured against pursuant to subsection (i) above, (3) including permission to occupy the Property, and (4) with an agreed amount endorsement waiving co-insurance provisions;
     (v) workers’ compensation, subject to the statutory limits of the state in which the Property is located, and employer’s liability insurance with a limit of at least One Million and No/100 Dollars ($1,000,000.00) per accident and per disease per employee, and One Million and No/100 Dollars ($1,000,000.00) for disease aggregate in respect of any work or operations on or about the Property, or in connection with the Property or its operation (if applicable);

-47-


 

     (vi) comprehensive boiler and machinery insurance, if applicable, in amounts as shall be reasonably required by Lender on terms consistent with the commercial property insurance policy required under subsection (i) above;
     (vii) umbrella liability insurance in addition to primary coverage in an amount not less than $10,000,000.00.00 per occurrence on terms consistent with the commercial general liability insurance policy required under subsection (ii) above and (viii) below;
     (viii) motor vehicle liability coverage for all owned and non-owned vehicles, including rented and leased vehicles containing minimum limits per occurrence of One Million and No/100 Dollars ($1,000,000.00);
     (ix) so-called “dramshop” insurance or other liability insurance required in connection with the sale of alcoholic beverages, if served at the Property, and;
     (x) If the commercial property and business income insurance policies required under subsections (i) and (iii) above do not cover perils of terrorism or acts of terrorism, Borrower shall maintain commercial property and business income insurance for loss resulting from perils and acts of terrorism on terms (including amounts) consistent with those required under subsections (i) and (iii) above; notwithstanding the foregoing, Borrower shall be required to obtain and maintain terrorism insurance in an amount not less than the amount of terrorism insurance that is available for an annual premium equal to two (2) times Borrower’s then current premium for the “all-riskinsurance required under subsection (i) above (such limitation shall be referred to as the “Terrorism Cap”) for terrorism insurance that is at least equivalent to the existing terrorism insurance required under this Section 5.1.1(a)(x); provided, however, the Terrorism Cap shall not apply if (A) owners and/or operators of office buildings in the same class as the Property in Massachusetts are generally obtaining terrorism insurance, (B) lenders financing such office buildings in the same class as the Property in Massachusetts are generally requiring terrorism insurance as a condition of financing, or (C) Borrower Principal or any Affiliates of Borrower Principal or any transferee of Borrower Principal or any of its Affiliates, is obtaining terrorism insurance on any other properties in Massachusetts which any of the foregoing Persons own or operate. The claims paying ability rating of the insurer shall be consistent with the requirements of Section 5.1.2 hereof or, if no insurer of such claims paying ability rating is then issuing such terrorism insurance, the chosen insurer shall be the insurer which is offering such terrorism insurance and which has a claims paying ability rating the closest to that required by Section 5.1.2 hereof.
If perils of terrorism and acts of terrorism or other similar acts or events are hereafter excluded from Borrower’s comprehensive all risk insurance policy or business income insurance coverage required under subsections (i) and (iii) above, Borrower shall obtain an endorsement to such policy, or a separate policy from an insurance provider which meets the requirements set forth in Section 5.1.2 below or is otherwise satisfactory to Lender, insuring against all such excluded acts or events in the amounts required for such coverage under subsections (i) and (iii) above, or such lesser amount as may be approved by Lender in its sole discretion. The endorsement or policy shall be in form and

-48-


 

substance reasonably satisfactory to Lender and shall meet Rating Agency criteria for securitized loans.
     (xi) upon sixty (60) days’ notice, such other reasonable insurance and in such reasonable amounts as Lender from time to time may reasonably request against such other insurable hazards which at the time are commonly insured against for property similar to the Property located in or around the region in which the Property is located.
          (b) All insurance provided for in Section 5.1.1(a) shall be obtained under valid and enforceable policies (collectively, the Policiesor, in the singular, the Policy) and, to the extent not specified above, shall be subject to the approval of Lender as to deductibles, loss payees and insureds. Not less than fifteen (15) days prior to the expiration dates of the Policies theretofore furnished to Lender, certificates of insurance evidencing the Policies accompanied by evidence satisfactory to Lender of payment of the premiums then due thereunder (the Insurance Premiums), shall be delivered by Borrower to Lender.
          (c) Any blanket insurance Policy shall specifically allocate to the Property the amount of coverage from time to time required hereunder and shall otherwise provide the same protection as would a separate Policy insuring only the Property in compliance with the provisions of Section 5.1.1(a).
          (d) All Policies of insurance provided for or contemplated by Section 5.1.1(a) shall be primary coverage and, except for the Policy referenced in Section 5.1.1(a)(v), shall name Borrower as the insured and Lender and its successors and/or assigns as the additional insured, as its interests may appear, and in the case of property damage, boiler and machinery, flood, earthquake and terrorism insurance, shall contain a so-called New York standard non contributing mortgagee clause in favor of Lender providing that the loss thereunder shall be payable to Lender. Borrower shall not procure or permit any of its constituent entities to procure any other insurance coverage which would be on the same level of payment as the Policies or would adversely impact in any way the ability of Lender or Borrower to collect any proceeds under any of the Policies.
          (e) All Policies of insurance provided for in Section 5.1.1(a), except for the Policies referenced in Sections 5.1.1(a)(v) and (a)(viii), shall contain clauses or endorsements to the effect that:
     (i) no act or negligence of Borrower, or anyone acting for Borrower, or of any Tenant or other occupant, or failure to comply with the provisions of any Policy, which might otherwise result in a forfeiture of the insurance or any part thereof, shall in any way affect the validity or enforceability of the insurance insofar as Lender is concerned;
     (ii) the Policy shall not be canceled or permitted to lapse without at least thirty (30) days’ written notice to Lender and any other party named therein as an additional insured and, shall not be materially changed (other than to increase the coverage provided thereby) without such a thirty (30) day notice; and

-49-


 

     (iii) Lender shall not be liable for any Insurance Premiums thereon or subject to any assessments thereunder.
          (f) If at any time Lender is not in receipt of written evidence that all insurance required hereunder is in full force and effect, Lender shall have the right, without notice to Borrower, to take such action as Lender deems necessary to protect its interest in the Property, including, without limitation, the obtaining of such insurance coverage as Lender in its sole discretion deems appropriate and all premiums incurred by Lender in connection with such action or in obtaining such insurance and keeping it in effect shall be paid by Borrower to Lender upon demand and until paid shall be secured by the Mortgage and shall bear interest at the Default Rate.
          (g) In the event of foreclosure of the Mortgage or other transfer of title to the Property in extinguishment in whole or in part of the Debt, all right, title and interest of Borrower in and to the Policies that are not blanket Policies then in force concerning the Property and all proceeds payable thereunder shall upon transfer of title to the Property vest in the purchaser at such foreclosure or Lender or other transferee in the event of such other transfer of title.
          5.1.2 Insurance Company. All Policies, excluding “flood hazard” and “earthquake” Policies provided for in Section 5.1.1(a)(i) hereof, shall be issued by financially sound and responsible insurance companies authorized to do business in the state in which the Property is located and having a claims paying ability rating of “A” or better by S&P and the equivalent rating by one of the other Rating Agencies.
          Section 5.2 Casualty and Condemnation.
          5.2.1 Casualty. If the Property shall sustain a Casualty, Borrower shall give prompt notice of such Casualty to Lender and shall promptly commence and diligently prosecute to completion the repair and restoration of the Property as nearly as possible to the condition the Property was in immediately prior to such Casualty (a “Restoration”) and otherwise in accordance with Section 5.3, it being understood, however, that Borrower shall not be obligated to restore the Property to the precise condition of the Property prior to such Casualty provided the Property is restored, to the extent practicable, to be of at least equal value and of substantially the same character as prior to the Casualty. Borrower shall pay all costs of such Restoration whether or not such costs are covered by insurance. Lender may, but shall not be obligated to, make proof of loss if not made promptly by Borrower. In the event of a Casualty where the loss does not exceed the Restoration Threshold, Borrower may settle and adjust such claim; provided that (a) no Event of Default has occurred and is continuing and (b) such adjustment is carried out in a commercially reasonable and timely manner. In the event of a Casualty where the loss exceeds the Restoration Threshold or if an Event of Default then exists, Borrower may settle and adjust such claim only with the prior written consent of Lender (which consent shall not be unreasonably withheld or delayed) and Lender shall have the opportunity to participate, at Borrower’s cost, in any such adjustments. Notwithstanding any Casualty, Borrower shall continue to pay the Debt at the time and in the manner provided for its payment in the Note and in this Agreement.

-50-


 

          5.2.2 Condemnation. Borrower shall give Lender prompt notice of any actual or threatened Condemnation by any Governmental Authority of all or any part of the Property and shall deliver to Lender a copy of any and all papers served in connection with such proceedings. Borrower may settle and compromise the Condemnation only with prior written the consent of Lender (which consent shall not be unreasonably withheld or delayed) and Lender shall have the opportunity to participate, at Borrower’s cost, in any litigation and settlement discussions in respect thereof and Borrower shall from time to time deliver to Lender all instruments requested by Lender to permit such participation. Borrower shall, at its expense, diligently prosecute any such proceedings, and shall consult with Lender, its attorneys and experts, and cooperate with them in the carrying on or defense of any such proceedings following an Event of Default that remains uncured. Lender is hereby irrevocably appointed as Borrower’s attorney-in-fact, coupled with an interest, with exclusive power to collect, receive and retain any Award and to make any compromise or settlement in connection with any such Condemnation. Notwithstanding any Condemnation, Borrower shall continue to pay the Debt at the time and in the manner provided for its payment in the Note and in this Agreement. Lender shall not be limited to the interest paid on the Award by any Governmental Authority but shall be entitled to receive out of the Award interest at the rate or rates provided herein or in the Note. If the Property or any portion thereof is taken by any Governmental Authority, Borrower shall promptly commence and diligently prosecute the Restoration of the Property and otherwise comply with the provisions of Section 5.3. If the Property is sold, through foreclosure or otherwise, prior to the receipt by Lender of the Award, Lender shall have the right, whether or not a deficiency judgment on the Note shall have been sought, recovered or denied, to receive the Award, or a portion thereof sufficient to pay the Debt.
          5.2.3 Casualty Proceeds. Notwithstanding the last sentence of Section 5.1.1(a)(iii) and provided no Event of Default then exists hereunder, proceeds received by Lender on account of the business interruption insurance specified in Section 5.1.1(a)(iii) above with respect to any Casualty shall be deposited by Lender directly into the Lockbox Account (as defined in the Cash Management Agreement) but (a) only to the extent it reflects a replacement for lost Rents that would have been due under Leases existing on the date of such Casualty, and (b) only to the extent necessary to fully make the disbursements required by Sections 3.3(a)(i) through (vi) of the Cash Management Agreement. All other such proceeds shall be held by Lender and disbursed in accordance with Section 5.3 hereof.
          Section 5.3 Delivery of Net Proceeds.
          5.3.1 Minor Casualty or Condemnation. If a Casualty or Condemnation has occurred to the Property and the Net Proceeds shall be less than the Restoration Threshold and the costs of completing the Restoration shall be less than the Restoration Threshold, and provided (a) no Event of Default shall have occurred and remain uncured and (b) the Casualty or Condemnation shall have occurred prior to the Maturity Date, the Net Proceeds will be promptly disbursed by Lender to Borrower. Promptly after receipt of the Net Proceeds, Borrower shall commence and satisfactorily complete with due diligence the Restoration in accordance with the terms of this Agreement. If any Net Proceeds are received by Borrower and may be retained by Borrower pursuant to the terms hereof, such Net Proceeds shall, until completion of the Restoration, be held in trust for Lender and shall be segregated from other funds of Borrower to be used to pay for the cost of Restoration in accordance with the terms hereof.

-51-


 

          5.3.2 Major Casualty or Condemnation. (a) If a Casualty or Condemnation has occurred to the Property and the Net Proceeds are equal to or greater than the Restoration Threshold or the costs of completing the Restoration is equal to or greater than the Restoration Threshold, Lender shall make the Net Proceeds available for the Restoration, provided that each of the following conditions are met:
     (i) no Event of Default shall have occurred and be continuing;
     (ii) (A) in the event the Net Proceeds are insurance proceeds, less than thirty-five percent (35%) of the total floor area of the Improvements at the Property has been damaged, destroyed or rendered unusable as a result of such Casualty or (B) in the event the Net Proceeds are an Award, less than fifteen percent (15%) of the land constituting the Property is taken, and such land is located along the perimeter or periphery of the Property, and no portion of the Improvements is the subject of the Condemnation;
     (iii) Leases requiring payment of annual rent equal to sixty-five percent (65%) of the Gross Income from Operations received by Borrower during the twelve (12) month period immediately preceding the Casualty or Condemnation and all Major Leases shall remain in full force and effect during and after the completion of the Restoration without abatement of rent beyond the time required for Restoration, notwithstanding the occurrence of such Casualty or Condemnation;
     (iv) Borrower shall commence the Restoration as soon as reasonably practicable (but in no event later than sixty (60) days after such Casualty or Condemnation, whichever the case may be, occurs) and shall diligently pursue the same to satisfactory completion;
     (v) Lender shall be satisfied that any operating deficits and all payments of interest under the Note will be paid during the period required for Restoration from (A) the Net Proceeds, or (B) other funds of Borrower;
     (vi) Lender shall be satisfied that the Restoration will be completed on or before the earliest to occur of (A) the date six (6) months prior to the Maturity Date, (B) the earliest date required for such completion under the terms of any Major Lease, (C) such time as may be required under applicable Legal Requirements in order to repair and restore the Property to the condition it was in immediately prior to such Casualty or to as nearly as possible the condition it was in immediately prior to such Condemnation, as applicable or (D) the expiration of the insurance coverage referred to in Section 5.1.1(a)(iii);
     (vii) the Property and the use thereof after the Restoration will be in compliance with and permitted under all applicable Legal Requirements;
     (viii) the Restoration shall be done and completed by Borrower in an expeditious and diligent fashion and in compliance with all applicable Legal Requirements;

-52-


 

     (ix) such Casualty or Condemnation, as applicable, does not result in the loss of legal access to the Property or the related Improvements;
     (x) all Operating Agreements shall remain in full force and effect; and
     (xi) After giving effect to such Restoration, the Debt Service Coverage Ratio for the Property shall be equal to the greater of (i) the Debt Service Coverage Ratio for the twelve (12) full calendar months immediately preceding the Closing Date, and (ii) the Debt Service Coverage Ratio for the Property for the twelve (12) full calendar months immediately preceding the Casualty or Condemnation of the Property.
          (b) The Net Proceeds shall be paid directly to Lender and held by Lender in an interest-bearing account, which interest shall accrue for Borrower’s benefit, and, until disbursed in accordance with the provisions of this Section 5.3.2, shall constitute additional security for the Debt. The Net Proceeds (including all interest earned thereon) shall be disbursed by Lender to, or as directed by, Borrower from time to time during the course of the Restoration, upon receipt of evidence reasonably satisfactory to Lender that (i) all requirements set forth in Section 5.3.2(a) have been satisfied, (ii) all materials installed and work and labor performed (except to the extent that they are to be paid for out of the requested disbursement) in connection with the Restoration have been paid for in full, and (iii) there exist no notices of pendency, stop orders, mechanic’s or materialman’s liens or notices of intention to file same, or any other liens or encumbrances of any nature whatsoever on the Property arising out of the Restoration which have not either been fully bonded to the satisfaction of Lender and discharged of record or in the alternative fully insured to the satisfaction of Lender by the title company issuing the Title Insurance Policy.
          (c) All plans and specifications required in connection with the Restoration shall be subject to prior reasonable approval of Lender and an independent architect reasonably selected by Lender (the “Casualty Consultant”). The plans and specifications shall require that the Restoration be completed in a first-class workmanlike manner at least equivalent to the quality and character of the original work in the Improvements (provided, however, that in the case of a partial Condemnation, the Restoration shall be done to the extent reasonably practicable after taking into account the consequences of such partial Condemnation), so that upon completion thereof, the Property shall be at least equal in value and general utility to the Property prior to the damage or destruction; it being understood, however, that Borrower shall not be obligated to restore the Property to the precise condition of the Property prior to such Casualty provided the Property is restored, to the extent practicable, to be of at least equal value and of substantially the same character as prior to the Casualty. Borrower shall restore all Improvements such that when they are fully restored and/or repaired, such Improvements and their contemplated use fully comply with all applicable material Legal Requirements. The identity of the contractors, subcontractors and materialmen engaged in the Restoration, as well as the contracts under which they have been engaged, shall be subject to reasonable approval by Lender and the Casualty Consultant. All costs and expenses incurred by Lender in connection with recovering, holding and advancing the Net Proceeds for the Restoration including, without limitation, reasonable attorneys’ fees and disbursements and the Casualty Consultant’s fees and disbursements, shall be paid by Borrower.

-53-


 

          (d) In no event shall Lender be obligated to make disbursements of the Net Proceeds in excess of an amount equal to the costs actually incurred from time to time for work in place as part of the Restoration, as certified by the Casualty Consultant, less the Casualty Retainage. The term “Casualty Retainage” shall mean, as to each contractor, subcontractor or materialman engaged in the Restoration, an amount equal to ten percent (10%) of the costs actually incurred for work in place as part of the Restoration, as certified by the Casualty Consultant, until the Restoration has been completed. The Casualty Retainage shall in no event, and notwithstanding anything to the contrary set forth above in this Section 5.3.2(d), be less than the amount actually held back by Borrower from contractors, subcontractors and materialmen engaged in the Restoration. The Casualty Retainage shall not be released until the Casualty Consultant certifies to Lender that the Restoration has been completed in accordance with the provisions of this Section 5.3.2(d) and that all approvals necessary for the re-occupancy and use of the Property have been obtained from all appropriate Governmental Authorities, and Lender receives evidence satisfactory to Lender that the costs of the Restoration have been paid in full or will be paid in full out of the Casualty Retainage; provided, however, that Lender will release the portion of the Casualty Retainage being held with respect to any contractor, subcontractor or materialman engaged in the Restoration as of the date upon which the Casualty Consultant certifies to Lender that the contractor, subcontractor or materialman has satisfactorily completed all work and has supplied all materials in accordance with the provisions of the contractor’s, subcontractor’s or materialman’s contract, the contractor, subcontractor or materialman delivers the lien waivers and evidence of payment in full of all sums due to the contractor, subcontractor or materialman as may be reasonably requested by Lender or by the title company issuing the Title Insurance Policy, and Lender receives an endorsement to the Title Insurance Policy insuring the continued priority of the lien of the Mortgage and evidence of payment of any premium payable for such endorsement. If required by Lender, the release of any such portion of the Casualty Retainage shall be approved by the surety company, if any, which has issued a payment or performance bond with respect to the contractor, subcontractor or materialman.
          (e) Lender shall not be obligated to make disbursements of the Net Proceeds more frequently than once every calendar month.
          (f) If at any time the Net Proceeds or the undisbursed balance thereof shall not, in the opinion of Lender in consultation with the Casualty Consultant, be sufficient to pay in full the balance of the costs which are estimated by the Casualty Consultant to be incurred in connection with the completion of the Restoration, Borrower shall deposit the deficiency (the “Net Proceeds Deficiency”) with Lender before any further disbursement of the Net Proceeds shall be made. The Net Proceeds Deficiency deposited with Lender shall be held by Lender and shall be disbursed for costs actually incurred in connection with the Restoration on the same conditions applicable to the disbursement of the Net Proceeds, and until so disbursed pursuant to this Section 5.3.2 shall constitute additional security for the Debt.
          (g) The excess, if any, of the Net Proceeds and the remaining balance, if any, of the Net Proceeds Deficiency deposited with Lender after the Casualty Consultant certifies to Lender that the Restoration has been completed in accordance with the provisions of this Section 5.3.2, and the receipt by Lender of evidence satisfactory to Lender that all costs incurred in connection with the Restoration have been paid in full, shall be remitted by Lender to Borrower, provided no Event of Default shall have occurred and shall be continuing under any of

-54-


 

the Loan Documents; provided, however, the amount of such excess returned to Borrower in the case of a Condemnation shall not exceed the amount of Net Proceeds Deficiency deposited by Borrower with the balance being applied to the Debt in the manner provided for in subsection 5.3.2(h).
          (h) All Net Proceeds not required (i) to be made available for the Restoration or (ii) to be returned to Borrower as excess Net Proceeds pursuant to Section 5.3.2(g) may be retained and applied by Lender toward the payment of the Debt, whether or not then due and payable, in such order, priority and proportions as Lender in its sole discretion shall deem proper, or, at the discretion of Lender, the same may be paid, either in whole or in part, to Borrower for such purposes as Lender shall designate, without prepayment premium or other penalty.
          VI. RESERVE FUNDS
          Section 6.1 Required Repair Funds.
          6.1.1 Deposit of Required Repair Funds. Borrower shall perform the repairs at the Property as set forth on Schedule II hereto (such repairs hereinafter referred to as “Required Repairs”) and shall complete each of the Required Repairs on or before the respective deadline for each repair as set forth on Schedule II. On the Closing Date, Borrower shall deposit with Lender the amount that is one hundred and twenty-five percent (125%) of the cost to perform such Required Repairs as set forth on Schedule II hereto to perform the Required Repairs. Amounts deposited pursuant to this Section 6.1.1 are referred to herein as the “Required Repair Funds.
          6.1.2 Release of Required Repair Funds. With respect to any item of Required Repairs which has been completed, Lender shall disburse, or cause to be disbursed, to Borrower the Required Repair Funds upon satisfaction by Borrower of each of the following conditions: (a) Borrower shall submit a request for payment to Lender at least ten (10) days prior to the date on which Borrower requests such payment be made and specifies the Required Repairs to be paid, (b) on the date such request is received by Lender and on the date such payment is to be made, no Event of Default shall exist and remain uncured, (c) Lender shall have received a certificate from Borrower (i) stating that all Required Repairs to be funded by the requested disbursement have been completed in a good and workmanlike manner and in accordance with all applicable Legal Requirements, such certificate to be accompanied by a copy of any license, permit or other approval by any Governmental Authority, if any, required in connection with the Required Repairs, (ii) identifying each Person that supplied materials or labor in connection with the Required Repairs to be funded by the requested disbursement, and (iii) stating that each such Person has been paid in full or will be paid in full upon such disbursement, such certificate to be accompanied by lien waivers or other evidence of payment satisfactory to Lender, (d) at Lender’s option, a title search for the Property indicating that the Property is free from all liens, claims and other encumbrances not previously approved by Lender, (e) at Lender’s option, if the cost of the Required Repairs exceeds Twenty-Five Thousand and No/100 Dollars ($25,000.00), Lender shall have received a report satisfactory to Lender in its reasonable discretion from an architect or engineer approved by Lender in respect of such architect or engineer’s inspection of the required repairs, and (f) Lender shall have received such other evidence as Lender shall reasonably request that the Required Repairs to be

-55-


 

funded by the requested disbursement have been completed and are paid for or will be paid upon such disbursement to Borrower. Lender shall not be required to disburse Required Repair Funds more frequently than once each calendar month, and the requested disbursement must be at least in an amount equal to the Minimum Disbursement Amount (or a lesser amount if the total Required Repair Funds is less than the Minimum Disbursement Amount, in which case only one disbursement of the amount remaining in the account shall be made). Lender shall have the right, but not the obligation, to make any of the Required Repairs in the event Borrower fails to perform same in accordance with Section 6.1.1.
          Section 6.2 Tax Funds.
          6.2.1 Deposits of Tax Funds. On the Closing Date, Borrower shall deposit with Lender the amount of Twenty Nine Thousand Eight Hundred Forty Five and 90/100 Dollars ($29,845.90) and there shall be deposited to the appropriate Accounts on each Monthly Payment Date an amount equal to one-twelfth of the Taxes that Lender estimates will be payable during the next ensuing twelve (12) months in order to accumulate sufficient funds to pay all such Taxes at least ten (10) days prior to their respective due dates. Amounts deposited pursuant to this Section 6.2.1 are referred to herein as the “Tax Funds.” If at any time Lender reasonably determines that the Tax Funds will not be sufficient to pay the Taxes, Lender shall notify Borrower of such determination and the monthly deposits for Taxes shall be increased by the amount that Lender estimates is sufficient to make up the deficiency at least ten (10) days prior to the respective delinquent dates for the Taxes; provided that if Borrower receives notice of any deficiency after the date that is ten (10) days prior to the date that Taxes are due, Borrower will deposit such amount within two (2) Business Days after its receipt of such notice.
          6.2.2 Release of Tax Funds. Unless an Event of Default has occurred and is continuing, Lender shall apply the Tax Funds to payments of Taxes. In making any payment relating to Taxes, Lender may do so according to any bill, statement or estimate procured from the appropriate public office (with respect to Taxes) without inquiry into the accuracy of such bill, statement or estimate or into the validity of any tax, assessment, sale, forfeiture, tax lien or title or claim thereof. If the amount of the Tax Funds shall exceed the amounts due for Taxes, Lender shall, in its sole discretion, return any excess to Borrower or credit such excess against future payments to be made to the Tax Funds. Any Tax Funds remaining after the Debt has been paid in full shall be returned to Borrower.
          Section 6.3 Insurance Funds.
          6.3.1 Deposits of Insurance Funds. On the Closing Date, Borrower shall deposit with Lender the amount of Five Thousand Seven Hundred Thirty and No/100 Dollars ($5,730.00) and there shall be deposited to the appropriate Accounts on each Monthly Payment Date an amount equal to one-twelfth of the Insurance Premiums that Lender estimates will be payable for the renewal of the coverage afforded by the Policies upon the expiration thereof in order to accumulate sufficient funds to pay all such Insurance Premiums at least thirty (30) days prior to the expiration of the Policies. Amounts deposited pursuant to this Section 6.3.1 are referred to herein as the “Insurance Funds”. If at any time Lender reasonably determines that the Insurance Funds will not be sufficient to pay the Insurance Premiums, Lender shall notify Borrower of such determination and the monthly deposits for Insurance Premiums shall be

-56-


 

increased by the amount that Lender estimates is sufficient to make up the deficiency at least thirty (30) days prior to expiration of the Policies.
          6.3.2 Release of Insurance Funds. Unless an Event of Default has occurred and is continuing, Lender shall apply the Insurance Funds to payment of Insurance Premiums. In making any payment relating to Insurance Premiums, Lender may do so according to any bill, statement or estimate procured from the insurer or its agent, without inquiry into the accuracy of such bill, statement or estimate. If the amount of the Insurance Funds shall exceed the amounts due for Insurance Premiums, Lender shall return any excess to Borrower. Any Insurance Funds remaining after the Debt has been paid in full shall be returned to Borrower.
          Section 6.4 Capital Expenditure Funds.
          6.4.1 Deposits of Capital Expenditure Funds. On the Closing Date, Borrower shall deposit with Lender the amount of Two Thousand Five Hundred Fourteen and 16/100 Dollars ($2,514.16) and there shall be deposited to the appropriate Accounts on each Monthly Payment Date, an amount equal to Two Thousand Five Hundred Fourteen and 16/100 Dollars ($2,514.16) for annual Capital Expenditures approved by Lender, which approval shall not be unreasonably withheld or delayed; provided, however, Borrower shall have no obligation to make deposits under this Section 6.4.1 during any month in which the amount then on deposit in the appropriate Account is greater than or equal to $250,000. Amounts deposited pursuant to this Section 6.4.1 are referred to herein as the “Capital Expenditure Funds.” Lender may reassess its estimate of the amount necessary for capital expenditures from time to time and, and may require Borrower to increase the monthly deposits required pursuant to this Section 6.4.1 upon thirty (30) days notice to Borrower if Lender determines in its reasonable discretion that an increase is necessary to maintain proper operation of the Property.
          6.4.2 Release of Capital Expenditure Funds.
          (a) Lender shall disburse, or cause to be disbursed, Capital Expenditure Funds only for Capital Expenditures.
          (b) Lender shall disburse, or cause to be disbursed, to Borrower the Capital Expenditure Funds upon satisfaction by Borrower of each of the following conditions: (i) Borrower shall submit a request for payment to Lender at least ten (10) days prior to the date on which Borrower requests such payment be made and specifies the Capital Expenditures to be paid, (ii) on the date such request is received by Lender and on the date such payment is to be made, no Event of Default shall exist and remain uncured, (iii) Lender shall have received a certificate from Borrower (A) stating that the items to be funded by the requested disbursement are Capital Expenditures, (B) stating that all Capital Expenditures at the Property to be funded by the requested disbursement have been completed in a good and workmanlike manner and in accordance with all applicable Legal Requirements, such certificate to be accompanied by a copy of any license, permit or other approval required by any Governmental Authority, if any, in connection with the Capital Expenditures, (C) identifying each Person that supplied materials or labor in connection with the Capital Expenditures to be funded by the requested disbursement, and (D) stating that each such Person has been paid in full or will be paid in full upon such disbursement, such certificate to be accompanied by lien waivers or other evidence of payment

-57-


 

satisfactory to Lender, (iv) at Lender’s option, a title search for the Property indicating that the Property is free from all Liens, claims and other encumbrances not previously approved by Lender, (v) at Lender’s option, if the cost of any individual Capital Expenditure exceeds Twenty Five Thousand and No/100 Dollars ($25,000.00), Lender shall have received a report satisfactory to Lender in its reasonable discretion from an architect or engineer approved by Lender in respect of such architect or engineer’s inspection of the required repairs, and (vi) Lender shall have received such other evidence as Lender shall reasonably request that the Capital Expenditures at the Property to be funded by the requested disbursement have been completed and are paid for or will be paid upon such disbursement to Borrower. Lender shall not be required to disburse Capital Expenditure Funds more frequently than once each calendar month, and each disbursement must be at least an amount greater than the Minimum Disbursement Amount (or a lesser amount if the total amount of Capital Expenditure Funds is less than the Minimum Disbursement Amount, in which case only one disbursement of the amount remaining in the account shall be made).
          (c) Nothing in this Section 6.4.2 shall (i) make Lender responsible for making or completing the Capital Expenditures Work; (ii) require Lender to expend funds in addition to the Capital Expenditure Funds to complete any Capital Expenditures Work; (iii) obligate Lender to proceed with the Capital Expenditures Work; or (iv) obligate Lender to demand from Borrower additional sums to complete any Capital Expenditures Work.
          (d) Borrower shall permit Lender and Lender’s agents and representatives (including, without limitation, Lender’s engineer, architect, or inspector) or third parties to enter onto the Property during normal business hours (subject to the rights of Tenants under their Leases) to inspect the progress of any Capital Expenditures Work and all materials being used in connection therewith and to examine all plans and shop drawings relating to such Capital Expenditures Work. Any such inspection shall be conducted in a manner designed to minimize interference with Tenants or Borrower’s operation of the Property. Borrower shall cause all contractors and subcontractors to cooperate with Lender or Lender’s representatives or such other Persons described above in connection with inspections described in this Section 6.4.2(d).
          Section 6.5 Rollover Funds.
          6.5.1 Deposits of Rollover Funds. On the Closing Date, Borrower shall deposit with Lender the amount of Thirty Two Thousand and No/00 Dollars ($32,000.00) and there shall be deposited to the appropriate Account on each Monthly Payment Date the sum of Thirty Two Thousand and No/00 Dollars ($32,000.00), for tenant improvements and leasing commissions, lease cancellation fees, buy-out fees or a similar cost that may be incurred following the date hereof; provided, however, Borrower shall have no obligation to make deposits under this Section 6.5.1 during any month in which the amount then on deposit in the appropriate Account is greater than or equal to $500,000. Amounts deposited pursuant to this Section 6.5.1 are referred to herein as the “Rollover Funds.
          6.5.2 Release of Rollover Funds. Lender shall disburse, or cause to be disbursed, to Borrower the Rollover Funds upon satisfaction by Borrower of each of the following conditions: (a) Borrower shall submit a request for payment to Lender at least ten (10) days prior to the date on which Borrower requests such payment be made and specifies the tenant

-58-


 

improvement costs and leasing commissions to be paid, (b) on the date such request is received by Lender and on the date such payment is to be made, no Event of Default shall exist and remain uncured, (c) subject to Section 4.1.9 hereof, Lender shall have reviewed and approved the Lease in respect of which Borrower is obligated to pay or reimburse certain tenant improvement costs and leasing commissions (to the extent approval is required pursuant to Section 4.1.9 hereof), (d) Lender shall have received and approved a budget for tenant improvement costs and a schedule of leasing commissions payments and the requested disbursement will be used to pay all or a portion of such costs and payments, (e) Lender shall have received a certificate from Borrower (i) stating that all tenant improvements at the Property to be funded by the requested disbursement have been completed in good and workmanlike manner and in accordance with all applicable federal, state and local laws, rules and regulations, such certificate to be accompanied by a copy of any license, permit or other approval by any Governmental Authority required in connection with the Capital Expenditures, (ii) identifying each Person that supplied materials or labor in connection with the tenant improvements to be funded by the requested disbursement, and (iii) stating that each such Person has been paid in full or will be paid in full upon such disbursement, such certificate to be accompanied by lien waivers or other evidence of payment satisfactory to Lender, (f) at Lender’s option, a title search for the Property indicating that the Property is free from all Liens, claims and other encumbrances not previously approved by Lender, (g) Lender shall have received an estoppel certificate from the applicable tenant stating that (i) all required work is complete and (ii) such tenant is in occupancy and paying full unabated rent or has taken possession of the demised premises, and (h) Lender shall have received such other evidence as Lender shall reasonably request that the tenant improvements at the Property to be funded by the requested disbursement have been completed and are paid for or will be paid upon such disbursement to Borrower. Lender shall not be required to disburse Rollover Funds more frequently than once each calendar month, and each disbursement must be in an amount greater than the Minimum Disbursement Amount (or a lesser amount if the total amount of Rollover Funds is less than the Minimum Disbursement Amount, in which case only one disbursement of the amount remaining in the account shall be made).
          Section 6.6 Intentionally Deleted.
          Section 6.7 Security Interest in Reserve Funds.
          6.7.1 Grant of Security Interest. Borrower hereby pledges to Lender, and grants to Lender a security interest in, any and all monies now or hereafter deposited in the Reserve Funds as additional security for the payment of the Loan. The Reserve Funds shall be held in Lender’s name and may be commingled with Lender’s own funds at financial institutions selected by Lender in its sole discretion. Upon the occurrence of an Event of Default, Lender may apply any sums then present in the Reserve Funds to the payment of the Loan in any order in its sole discretion. Until expended or applied as above provided, the Reserve Funds shall constitute additional security for the Loan. Lender shall have no obligation to release any of the Reserve Funds while any Event of Default or Default then exists.
          6.7.2 Interest on Reserve Funds. All interest or income earned on any and all funds on deposit in any of the Reserve Funds shall be accumulated for the benefit of Borrower.

-59-


 

          6.7.3 Prohibition Against Further Encumbrance. Borrower shall not, without the prior consent of Lender, further pledge, assign or grant any security interest in the Reserve Funds or permit any lien or encumbrance to attach thereto, or any levy to be made thereon, or any UCC-1 Financing Statements, except those naming Lender as the secured party, to be filed with respect thereto.
          VII. PROPERTY MANAGEMENT SECTION
          Section 7.1 The Management Agreement.
          Borrower shall cause Manager to manage the Property in accordance with the Management Agreement. Borrower shall (a) diligently perform and observe all of the terms, covenants and conditions of the Management Agreement on the part of Borrower to be performed and observed, (b) promptly notify Lender of any notice to Borrower of any default that has occurred and is continuing beyond expiration of applicable cure periods by Borrower in the performance or observance of any of the terms, covenants or conditions of the Management Agreement on the part of Borrower to be performed and observed, and (c) promptly deliver to Lender a copy of each financial statement, business plan, capital expenditures plan, report and estimate received by it under the Management Agreement. If Borrower shall default beyond expiration of applicable cure periods in the performance or observance of any material term, covenant or condition of the Management Agreement on the part of Borrower to be performed or observed, then, without limiting Lender’s other rights or remedies under this Agreement or the other Loan Documents, and without waiving or releasing Borrower from any of its obligations hereunder or under the Management Agreement, Lender shall have the right, but shall be under no obligation, to pay any sums and to perform any act as may be appropriate to cause all the material terms, covenants and conditions of the Management Agreement on the part of Borrower to be performed or observed.
          Section 7.2 Prohibition Against Termination or Modification.
          Borrower shall not surrender, terminate, cancel, modify, renew, amend, or extend the Management Agreement, or enter into any other agreement relating to the management or operation of the Property with Manager or any other Person, or consent to the assignment by the Manager of its interest under the Management Agreement, in each case without the express written consent of Lender, which consent shall not be unreasonably withheld; provided, however, with respect to a new manager such consent may be conditioned upon Borrower delivering a Rating Agency Confirmation as to such new manager and management agreement and, if such new manager is an Affiliate of Borrower, upon delivery of a non-consolidation opinion acceptable to the Rating Agencies. If at any time Lender consents to the appointment of a new manager, such new manager and Borrower shall, as a condition of Lender’s consent, execute a subordination of management agreement in the form then used by Lender. Notwithstanding the foregoing, Borrower shall have the right to terminate the Management Agreement and enter into a new management agreement upon terms reasonably acceptable to Lender with the Approved Property Manager; provided, however, Borrower shall (i) pay all of Lender’s expenses in connection therewith, and (ii) enter into an Assignment of Management Agreement with Lender similar to that which Lender and Manager have entered into as of the date hereof.

-60-


 

          Section 7.3 Replacement of Manager.
          Lender shall have the right to require Borrower to replace the Manager with a Person which is not an Affiliate of, but is chosen by, Borrower and approved by Lender upon the occurrence of any one or more of the following events: (a) at any time following the occurrence of an Event of Default, (b) if Manager shall be in default under the Management Agreement beyond any applicable notice and cure period and/or (c) if Manager becomes insolvent or is adjudicated bankrupt or if any petition for bankruptcy shall be filed against or consented to by Manager.
          VIII. TRANSFERS
          Section 8.1 Prohibited Transfer or Encumbrance of Property.
          (a) Borrower shall not cause or permit a Sale or Pledge of the Property or any part thereof or any legal or beneficial interest therein nor permit a Sale or Pledge of an interest in any Restricted Party (in each case, a “Prohibited Transfer”), other than pursuant to Leases of space in the Improvements to Tenants in accordance with the provisions of Section 4.1.9, without the prior written consent of Lender.
          (b) A Prohibited Transfer shall include, but not be limited to, (i) an installment sales agreement wherein Borrower agrees to sell the Property or any part thereof for a price to be paid in installments; (ii) an agreement by Borrower leasing all or a substantial part of the Property for other than actual occupancy by a space tenant thereunder or a sale, assignment or other transfer of, or the grant of a security interest in, Borrower’s right, title and interest in and to any Leases or any Rents; (iii) if a Restricted Party is a corporation, any merger, consolidation or Sale or Pledge of such corporation’s stock or the creation or issuance of new stock in one or a series of transactions; (iv) if a Restricted Party is a limited or general partnership or joint venture, any merger or consolidation or the change, removal, resignation or addition of a general partner or the Sale or Pledge of the partnership interest of any general or limited partner or any profits or proceeds relating to such partnership interests or the creation or issuance of new partnership interests; (v) if a Restricted Party is a limited liability company, any merger or consolidation or the change, removal, resignation or addition of a managing member or non-member manager (or if no managing member, any member) or the Sale or Pledge of the membership interest of any member or any profits or proceeds relating to such membership interest; (vi) if a Restricted Party is a trust or nominee trust, any merger, consolidation or the Sale or Pledge of the legal or beneficial interest in a Restricted Party or the creation or issuance of new legal or beneficial interests; or (vii) the removal or the resignation of the Manager (including, without limitation, an Affiliated Manager) other than in accordance with Article VII.
          (c) Notwithstanding the provisions of Section 8.1(b), the following transfers shall not be deemed to be a Prohibited Transfer: (i) a transfer by devise or descent or by operation of law upon the death of a member, partner or shareholder of a Restricted Party; (ii) the Sale or Pledge, in one or a series of transactions, of not more than forty-nine percent (49%) of the stock, limited partnership interests or non-managing membership interests (as the case may be) in a Restricted Party; provided, however, no such transfers shall result in a change in Control in the Restricted Party or change in control of the Property, and as a condition to each

-61-


 

such transfer, Lender shall receive not less than twenty (20) days prior written notice of such proposed transfer, (iii) the sale, transfer, cancellation or issuance of stock or other securities of Cedar Shopping Centers, Inc., a Maryland corporation, provided such stock or other securities are listed on the New York Stock Exchange or such other nationally recognized stock exchange, (iv) transfers of direct or indirect membership interests in Borrower between any then existing I&G Fund to another I&G Fund, provided that (A) Borrower shall maintain its status as a single purpose, bankruptcy remote entity under criteria established by the Rating Agencies, (B) if after giving effect to such transfer and all prior transfers, more than forty-nine percent (49%) in the aggregate of direct or indirect interests in Borrower are owned by any Person and its Affiliates that owned less than a forty nine percent (49%) direct or indirect interest in Borrower as of the Closing Date, Lender shall receive a non consolidation opinion acceptable to Lender and the Rating Agencies, (v) from and after a transfer pursuant to Sections 8.2.2(a) or (b), transfers amongst the then existing members of Cedar-Franklin Village 2 LLC of their direct membership interests in Cedar-Franklin Village 2 LLC, provided that (A) Borrower shall maintain its status as a single purpose, bankruptcy remote entity under criteria established by the Rating Agencies, (B) if after giving effect to such transfer and all prior transfers, more than forty-nine percent (49%) in the aggregate of direct or indirect interests in Borrower are owned by any Person and its Affiliates that owned less than a forty nine percent (49%) direct or indirect interest in Borrower as of the Closing Date, Lender shall receive a non consolidation opinion acceptable to Lender and the Rating Agencies and (vi) transfers of interests in the I&G Funds by investors in such I&G Funds.
          (d) Lender reserves the right to condition the consent to a Prohibited Transfer requested hereunder upon (a) a modification of the terms hereof and on assumption of the Note and the other Loan Documents as so modified by the proposed Prohibited Transfer, (b) receipt of payment of a transfer fee equal to 0.5% of the outstanding principal balance of the Loan and all of Lender’s expenses actually incurred in connection with such Prohibited Transfer, (c) receipt of Rating Agency Confirmation with respect to the transfer, (d) the proposed transferee’s continued compliance with the covenants set forth in this Agreement (including, without limitation, the covenants in Section 3.1.24) and the other Loan Documents, (e) a new manager for the Property and a new management agreement satisfactory to Lender, (f) a new guaranty(ies) and environmental indemnity, substantially in the form of the Guaranty, Supplemental Guaranty, and Environmental Indemnity delivered contemporaneously with this Agreement, from guarantor(s) and indemnitor(s) satisfactory to Lender, and (g) the satisfaction of such other conditions and/or legal opinions as Lender shall determine in its sole discretion to be in the interest of Lender. All expenses incurred by Lender shall be payable by Borrower whether or not Lender consents to the Prohibited Transfer. Lender shall not be required to demonstrate any actual impairment of its security or any increased risk of default hereunder in order to declare the Debt immediately due and payable upon a Prohibited Transfer made without Lender’s consent. This provision shall apply to each and every Prohibited Transfer, whether or not Lender has consented to any previous Prohibited Transfer. Notwithstanding anything to the contrary contained in this Section 8.1(d), in the event a substantive non-consolidation opinion was delivered to Lender and the Rating Agencies in connection with the closing of the Loan, and if any Prohibited Transfer results in any Person and its Affiliates owning in excess of forty-nine percent (49%) of the ownership interests in a Restricted Party, Borrower shall, prior to such transfer, and in addition to any other requirement for Lender consent contained herein, deliver a revised substantive

-62-


 

non-consolidation opinion to Lender reflecting such Prohibited Transfer, which opinion shall be in form, scope and substance acceptable in all respects to Lender and the Rating Agencies.
          Section 8.2 Permitted Transfers
          8.2.1 Permitted Transfer of the Property
          (a) Notwithstanding the provisions of Section 8.1, Borrower shall have a one-time right to sell or otherwise transfer the Property while the Loan or any portion thereof is outstanding, subject to the satisfaction of the following conditions:
     (i) no Event of Default shall have occurred and remain uncured;
     (ii) the proposed transferee (“Transferee”) shall be a Permitted Transferee and shall be a reputable entity or person of good character, creditworthy, with sufficient financial worth considering the obligations assumed and undertaken, as evidenced by financial statements and other information reasonably requested by Lender;
     (iii) the Transferee and its property manager shall have sufficient experience in the ownership and management of properties similar to the Property, and Lender shall be provided with reasonable evidence thereof (and Lender reserves the right to approve the Transferee without approving the substitution of the property manager);
     (iv) Lender shall have received Rating Agency Confirmation with respect to the transfer;
     (v) Lender shall have received evidence satisfactory to it (which shall include a legal non-consolidation opinion acceptable to Lender) that the single purpose nature and bankruptcy remoteness of Borrower its shareholders, partners, or members, as the case may be, following such transfer are in accordance with the standards of the Rating Agencies;
     (vi) the Transferee shall have executed and delivered to Lender an assumption agreement in form and substance acceptable to Lender, evidencing such Transferee’s agreement to abide and be bound by the terms of the Note, the Mortgage and the other Loan Documents, together with such legal opinions and Title Insurance endorsements as may be reasonably requested by Lender; and
     (vii) Lender shall have received on or prior to the date of the sale or transfer (A) an assumption fee equal to one-half of one percent (0.50%) of the then unpaid principal balance of the Note, (B) a rating confirmation fee for each of the Rating Agencies delivering a Rating Agency Confirmation pursuant to clause (iv) above, which confirmation fees shall be equal to the then customary fees charged by each applicable Rating Agency for such a confirmation and (C) the payment of all costs and expenses actually incurred by Lender and the Rating Agencies in connection with such assumption (including reasonable attorneys’ fees and costs).
     (viii) the Transferee shall comply with the provisions of Section 3.1.38 hereof.

-63-


 

          8.2.2 Permitted Transfer of Interest in Borrower
          (a) Notwithstanding the provisions of Section 8.1, Borrower and the holder of any direct or indirect owner of ownership interest in Borrower shall have the right to transfer of not more than an aggregate of 80% of the direct or indirect ownership interests in the Borrower to a Qualified Transferee, provided that (i) no Event of Default shall have occurred and be continuing, (ii) Borrower shall pay all out-of-pocket fees and expenses actually incurred by Lender in connection with such Transfer including, without limitation, the cost of any third party reports, reasonable legal fees and expenses, or required legal opinions, (iii) Lender shall have received thirty (30) days advance written notice from Borrower of such Transfer, (iv) Lender shall have received such documents, certificates and legal opinions as it may reasonably request, (v) if after giving effect to such Transfer and all prior transfers, more than forty-nine percent (49%) in the aggregate of direct or indirect interests in Borrower are owned by any Person and its Affiliates that owned less than a forty nine percent (49%) direct or indirect interest in Borrower as of the Closing Date, Lender shall receive a non consolidation opinion acceptable to Lender and the Rating Agencies (vi) Borrower shall maintain its status as a single purpose, bankruptcy remote entity under criteria established by the Rating Agencies, (vii) if after giving effect to such transfer and all prior transfers, more than forty-nine percent (49%) in the aggregate of direct or indirect interests in Borrower are proposed to be transferred, Lender shall have received a Rating Agency Confirmation, (viii) the Transferee shall comply with the provisions of Section 3.1.38 hereof and (ix) the Property is managed by an Approved Property Manager.
          (b) Notwithstanding the provisions of Section 8.1, Borrower and the holder of any direct or indirect owner of ownership interest in Borrower shall have the right to transfer of not more than an aggregate of 80% of the direct or indirect ownership interests in the Borrower to one or more of the I&G Funds, provided that (i) no Event of Default shall have occurred and be continuing, (ii) Borrower shall pay all out-of-pocket fees and expenses actually incurred by Lender in connection with such Transfer including, without limitation, the cost of any third party reports, reasonable legal fees and expenses, or required legal opinions, (iii) Lender shall have received thirty (30) days advance written notice from Borrower of such Transfer, (iv) Lender shall have received such documents, certificates and legal opinions as it may reasonably request, (v) if after giving effect to such Transfer and all prior transfers, more than forty-nine percent (49%) in the aggregate of direct or indirect interests in Borrower are owned by any Person and its Affiliates that owned less than a forty nine percent (49%) direct or indirect interest in Borrower as of the Closing Date, Lender shall receive a non consolidation opinion acceptable to Lender and the Rating Agencies (vi) Borrower shall maintain its status as a single purpose, bankruptcy remote entity under criteria established by the Rating Agencies, (vii) the Transferee shall comply with the provisions of Section 3.1.38 hereof, (viii) Borrower provides an Officer’s Certificate that as of the date of the transfer, the I&G Funds’ net worth has not materially decreased since the date hereof and (ix) the Property is managed by an Approved Property Manager.
          Section 8.3 Substitute Guarantor.
          Solely in connection with Transfers permitted pursuant to Sections 8.2.1, 8.1(c)(v) and 8.2.2, Borrower may substitute the Guarantor under the Guaranty, the Supplemental

-64-


 

Guaranty and the Environmental Indemnity (collectively, the “Guaranties”) with another guarantor (“Substitute Guarantor”) provided that: (i) such Substitute Guarantor satisfies the requirements of a Qualified Transferee as of the date of the proposed substitution and is otherwise acceptable to Lender in its sole discretion; and (ii) such Substitute Guarantor executes the Guaranties, in the form identical to Guaranties executed by Guarantor as of the Closing Date. Upon such substitution in accordance with the provisions of this Section 8.3 the former Guarantor shall be released from any liability or other obligation under each of the Guaranties.
          IX. SALE AND SECURITIZATION OF MORTGAGE
          Section 9.1 Sale of Mortgage and Securitization.
          (a) Lender shall have the right (i) to sell or otherwise transfer the Loan or any portion thereof as a whole loan, (ii) to sell participation interests in the Loan or (iii) to securitize the Loan or any portion thereof in a single asset securitization or a pooled loan securitization. (The transactions referred to in clauses (i), (ii) and (iii) shall hereinafter be referred to collectively as “Secondary Market Transactions” and the transaction referred to in clause (iii) shall hereinafter be referred to as a “Securitization.” Any certificates, notes or other securities issued in connection with a Securitization are hereinafter referred to as “Securities”).
          (b) If requested by Lender, at not material cost to Borrower, Borrower shall assist Lender in satisfying the market standards to which Lender customarily adheres or which may be reasonably required in the marketplace or by the Rating Agencies in connection with any Secondary Market Transactions, including, without limitation, to:
     (i) (A) provide updated financial and other information with respect to the Property, the business operated at the Property, Borrower and the Manager, (B) provide updated budgets relating to the Property and (C) provide updated appraisals, market studies, environmental reviews (Phase I’s and, if appropriate, Phase II’s), property condition reports and other due diligence investigations of the Property (the “Updated Information”), together, with appropriate verification of the Updated Information through letters of auditors or opinions of counsel acceptable to Lender and the Rating Agencies;
     (ii) provide opinions of counsel, which may be relied upon by Lender, the Rating Agencies and their respective counsel, agents and representatives, as to non-consolidation or any other opinion customary in Secondary Market Transactions or required by the Rating Agencies with respect to the Property and Borrower and Affiliates, which counsel and opinions shall be reasonably satisfactory to Lender and the Rating Agencies;
     (iii) provide updated, as of the closing date of the Secondary Market Transaction, representations and warranties made in the Loan Documents and such additional representations and warranties as the Rating Agencies may require;
     (iv) execute such amendments to the Loan Documents and Borrower’s organizational documents reasonably requested by Lender, including, without limitation,

-65-


 

amending the Monthly Payment Date, the execution of one or more replacement loan agreements, as may be requested by Lender or the Rating Agencies to effect the Securitization and/or deliver one or more new component notes to replace the original note or modify the original note to reflect multiple components of the Loan (and such new notes or modified note shall have the same initial weighted average coupon of the original note, but such new notes or modified note may change the interest rate, Monthly Payment Date and amortization of the Loan), and modify the Cash Management Agreement with respect to the newly created components such that the pricing and marketability of the Securities and the size of each class of Securities and the rating assigned to each such class by the Rating Agencies shall provide the most favorable rating levels and achieve the optimum rating levels for the Loan; provided, however, any such amendments or agreements will not result in an economic change in the Loan terms and will not materially alter the payment terms set forth in this Agreement or the other Loan Documents or materially and adversely affect Borrower or impose additional material obligations or liabilities upon Borrower; and
     (v) attend management meetings and conduct tours of the Property.
          Section 9.2 Securitization Indemnification.
          (a) Borrower understands that information provided to Lender by Borrower and its agents, counsel and representatives may be included in disclosure documents in connection with the Securitization, including, without limitation, an offering circular, a prospectus, prospectus supplement, private placement memorandum or other offering document (each, a “Disclosure Document”) and may also be included in filings with the Securities and Exchange Commission pursuant to the Securities Act of 1933, as amended (the “Securities Act”), or the Securities and Exchange Act of 1934, as amended (the “Exchange Act”), and may be made available to investors or prospective investors in the Securities, the Rating Agencies, and service providers relating to the Securitization.
          (b) Borrower shall provide in connection with each of (i) a preliminary and a final private placement memorandum or (ii) a preliminary and final prospectus or prospectus supplement, as applicable, an agreement (A) certifying that Borrower has examined such Disclosure Documents specified by Lender and that each such Disclosure Document, as it relates to Borrower, Borrower Affiliates, the Property, Manager and all other aspects of the Loan, does not contain any untrue statement of a material fact or omit to state a material fact necessary in order to make the statements made, in the light of the circumstances under which they were made, not misleading, (B) indemnifying Lender (and for purposes of this Section 9.2, Lender hereunder shall include its officers and directors), the Affiliate of Lender that has filed the registration statement relating to the Securitization (the “Registration Statement”), each of its directors, each of its officers who have signed the Registration Statement and each Person that controls the Affiliate within the meaning of Section 15 of the Securities Act or Section 20 of the Exchange Act (collectively, the “Lender Group”), and Lender, and any other placement agent or underwriter with respect to the Securitization, each of their respective directors and each Person who controls Lender or any other placement agent or underwriter within the meaning of Section 15 of the Securities Act and Section 20 of the Exchange Act (collectively, the “Underwriter Group”) for any losses, claims, damages or liabilities (collectively, the

-66-


 

Liabilities”) to which Lender, the Lender Group or the Underwriter Group may become subject insofar as the Liabilities arise out of or are based upon any untrue statement or alleged untrue statement of any material fact contained in such sections or arise out of or are based upon the omission or alleged omission to state therein a material fact required to be stated in such sections or necessary in order to make the statements in such sections, in light of the circumstances under which they were made, not misleading and (C) agreeing to reimburse Lender, the Lender Group and/or the Underwriter Group for any legal or other expenses reasonably incurred by Lender, the Lender Group and the Underwriter Group in connection with investigating or defending the Liabilities; provided, however, that Borrower will be liable in any such case under clauses (B) or (C) above only to the extent that any such loss claim, damage or liability arises out of or is based upon any such untrue statement or omission made therein in reliance upon and in conformity with information furnished to Lender by or on behalf of Borrower in connection with the preparation of the Disclosure Document or in connection with the underwriting or closing of the Loan, including, without limitation, financial statements of Borrower, operating statements and rent rolls with respect to the Property. This indemnity agreement will be in addition to any liability which Borrower may otherwise have.
          (c) In connection with Exchange Act Filings, Borrower shall (i) indemnify Lender, the Lender Group and the Underwriter Group for Liabilities to which Lender, the Lender Group or the Underwriter Group may become subject insofar as the Liabilities arise out of or are based upon the omission or alleged omission to state in the Disclosure Document a material fact required to be stated in the Disclosure Document in order to make the statements in the Disclosure Document, in light of the circumstances under which they were made, not misleading and (ii) reimburse Lender, the Lender Group or the Underwriter Group for any reasonable legal or other expenses actually and reasonably incurred by Lender, the Lender Group or the Underwriter Group in connection with defending or investigating the Liabilities.
          (d) Promptly after receipt by an indemnified party under this Section 9.2 of notice of the commencement of any action, such indemnified party will, if a claim in respect thereof is to be made against the indemnifying party under this Section 9.2, notify the indemnifying party in writing of the commencement thereof, but the omission to so notify the indemnifying party will not relieve the indemnifying party from any liability which the indemnifying party may have to any indemnified party hereunder except to the extent that failure to notify causes prejudice to the indemnifying party. In the event that any action is brought against any indemnified party, and it notifies the indemnifying party of the commencement thereof, the indemnifying party will be entitled, jointly with any other indemnifying party, to participate therein and, to the extent that it (or they) may elect by written notice delivered to the indemnified party promptly after receiving the aforesaid notice from such indemnified party, to assume the defense thereof with counsel reasonably satisfactory to such indemnified party. After notice from the indemnifying party to such indemnified party under this Section 9.2, such indemnified party shall pay for any legal or other expenses subsequently incurred by such indemnified party in connection with the defense thereof other than reasonable costs of investigation; provided, however, if the defendants in any such action include both the indemnified party and the indemnifying party and the indemnified party shall have reasonably concluded that there are any legal defenses available to it and/or other indemnified parties that are different from or additional to those available to the indemnifying party, the indemnified party or parties shall have the right to select separate counsel to assert such legal defenses and to

-67-


 

otherwise participate in the defense of such action on behalf of such indemnified party at the cost of the indemnifying party. The indemnifying party shall not be liable for the expenses of more than one separate counsel unless an indemnified party shall have reasonably concluded that there may be legal defenses available to it that are different from or additional to those available to another indemnified party.
          (e) In order to provide for just and equitable contribution in circumstances in which the indemnity agreement provided for in Section 9.2(b) or (c) is for any reason held to be unenforceable as to an indemnified party in respect of any losses, claims, damages or liabilities (or action in respect thereof) referred to therein which would otherwise be indemnifiable under Section 9.2(b) or (c), the indemnifying party shall contribute to the amount paid or payable by the indemnified party as a result of such losses, claims, damages or liabilities (or action in respect thereof); provided, however, that no Person guilty of fraudulent misrepresentation (within the meaning of Section 11(f) of the Securities Act) shall be entitled to contribution from any Person who was not guilty of such fraudulent misrepresentation. In determining the amount of contribution to which the respective parties are entitled, the following factors shall be considered: (i) Lender’s and Borrower’s relative knowledge and access to information concerning the matter with respect to which the claim was asserted; (ii) the opportunity to correct and prevent any statement or omission; and (iii) any other equitable considerations appropriate in the circumstances. Lender and Borrower hereby agree that it would not be equitable if the amount of such contribution were determined by pro rata or per capita allocation.
          (f) The liabilities and obligations of both Borrower and Lender under this Section 9.2 shall survive the termination of this Agreement and the satisfaction and discharge of the Debt.
          X. DEFAULTS
          Section 10.1 Event of Default.
          (a) Each of the following events shall constitute an event of default hereunder (an “Event of Default”):
     (i) if (A) any monthly installment of interest due under the Note or the payment due on the Maturity Date is not paid within five (5) days of the date when due or (B) any other portion of the Debt is not paid when due and such non-payment in this Section 10.1(a)(i)(B) continues for five (5) days following notice to Borrower that the same is due and payable;
     (ii) if any of the Taxes or Other Charges are not paid when due (except to the extent (A) Lender is obligated to disburse Tax Funds for the payment of Taxes pursuant to Section 6.2.2 hereof, (B) Lender has sufficient Tax Funds in the Tax Funds account for such payment to make such payment, (C) no other Event of Default shall have occurred and (D) Lender fails to make such payment of Taxes);
     (iii) if the Policies are not kept in full force and effect provided, however, if Borrower has deposited sufficient funds into the Insurance Account (as defined in the

-68-


 

Cash Management Agreement) for the purchase of the Policies in accordance with Section 6.3 hereof, the failure to maintain such Policies due solely to non-payment of the Insurance Premiums shall not be deemed an Event of Default hereunder;
     (iv) if Borrower breaches or permits or suffers a breach of Article 6 of the Mortgage or Article VIII of this Agreement;
     (v) if any representation or warranty made by Borrower herein or in any other Loan Document, or in any report, certificate, financial statement or other instrument, agreement or document furnished to Lender shall have been false or misleading in any material respect as of the date the representation or warranty was made;
     (vi) if Borrower, any SPC Party or Guarantor shall make an assignment for the benefit of creditors;
     (vii) if Borrower fails or admits its inability to pay debts generally as they become due;
     (viii) if a receiver, liquidator or trustee shall be appointed for Borrower, any SPC Party or Guarantor or if Borrower, any SPC Party or Guarantor shall be adjudicated bankrupt or insolvent, or if any petition for bankruptcy, reorganization or arrangement pursuant to federal bankruptcy law, or any similar federal or state law, shall be filed by or against, consented to, or acquiesced in by, Borrower, any SPC Party or Guarantor, or if any proceeding for the dissolution or liquidation of Borrower, any SPC Party or Guarantor shall be instituted; provided, however, if such appointment, adjudication, petition or proceeding was involuntary and not consented to by Borrower, and SPC Party or Guarantor, upon the same not being discharged, stayed or dismissed within forty-five (45) days or if an order for relief is entered;
     (ix) if Borrower assigns its rights under this Agreement or any of the other Loan Documents or any interest herein or therein in contravention of the Loan Documents;
     (x) Intentionally Deleted;
     (xi) if any of the assumptions contained in the Insolvency Opinion, or in any other non-consolidation opinion delivered to Lender in connection with the Loan, or in any other non-consolidation delivered subsequent to the closing of the Loan, is or shall become untrue in any material respect and Borrower fails to deliver updates/corrections within thirty (30) days of request therefor;
     (xii) if Borrower breaches any representation, warranty or covenant contained in Section 3.1.24 hereof;
     (xiii) intentionally omitted;
     (xiv) if Guarantor breaches in any material respect any covenant, warranty or representation contained in the Guaranty or the Supplemental Guaranty;

-69-


 

     (xv) if Borrower shall continue to be in Default under any of the other terms, covenants or conditions of this Agreement not specified in subsections (i) through and including (xv) above, for ten (10) days after notice to Borrower from Lender, in the case of any Default which can be cured by the payment of a sum of money, or for thirty (30) days after notice from Lender in the case of any other Default; provided, however, that if such non monetary Default is susceptible of cure but cannot reasonably be cured within such thirty (30) day period and provided further that Borrower shall have commenced to cure such Default within such thirty (30) day period and thereafter diligently and expeditiously proceeds to cure the same, such thirty (30) day period shall be extended for such time as is reasonably necessary for Borrower in the exercise of due diligence to cure such Default, such additional period not to exceed ninety (90) days; or
     (xvi) if there shall be Default under any of the other Loan Documents beyond any applicable cure periods contained in such Loan Documents, whether as to Borrower or the Property, or if any other such event shall occur or condition shall exist, if the effect of such event or condition is to accelerate the maturity of any portion of the Debt or to permit Lender to accelerate the maturity of all or any portion of the Debt.
          (b) Upon the occurrence of an Event of Default (other than an Event of Default described in Sections 10.1(a)(vi), (vii) or (viii) above) and at any time thereafter Lender may, in addition to any other rights or remedies available to it pursuant to this Agreement and the other Loan Documents or at law or in equity, take such action, without notice or demand, that Lender deems advisable to protect and enforce its rights against Borrower and in and to the Property, including, without limitation, declaring the Debt to be immediately due and payable, and Lender may enforce or avail itself of any or all rights or remedies provided in the Loan Documents against Borrower and the Property, including, without limitation, all rights or remedies available at law or in equity; and upon any Event of Default described in Sections 10.1(a)(vi), (vii) or (viii) above, the Debt and all other obligations of Borrower hereunder and under the other Loan Documents shall immediately and automatically become due and payable, without notice or demand, and Borrower hereby expressly waives any such notice or demand, anything contained herein or in any other Loan Document to the contrary notwithstanding.
          Section 10.2 Remedies.
          (a) Upon the occurrence of an Event of Default, all or any one or more of the rights, powers, privileges and other remedies available to Lender against Borrower under this Agreement or any of the other Loan Documents executed and delivered by, or applicable to, Borrower or at law or in equity may be exercised by Lender at any time and from time to time, whether or not all or any of the Debt shall be declared due and payable, and whether or not Lender shall have commenced any foreclosure proceeding or other action for the enforcement of its rights and remedies under any of the Loan Documents with respect to the Property. Any such actions taken by Lender shall be cumulative and concurrent and may be pursued independently, singly, successively, together or otherwise, at such time and in such order as Lender may determine in its sole discretion, to the fullest extent permitted by law, without impairing or otherwise affecting the other rights and remedies of Lender permitted by law, equity or contract or as set forth herein or in the other Loan Documents. Without limiting the generality of the

-70-


 

foregoing and subject to applicable law, if an Event of Default is continuing (i) Lender is not subject to any “one action” or “election of remedies” law or rule, and (ii) all liens and other rights, remedies or privileges provided to Lender shall remain in full force and effect until Lender has exhausted all of its remedies against the Property and the Mortgage has been foreclosed, sold and/or otherwise realized upon in satisfaction of the Debt or the Debt has been paid in full.
          (b) Subject to applicable law, Lender shall have the right from time to time to partially foreclose the Mortgage in any manner and for any amounts secured by the Mortgage then due and payable as determined by Lender in its sole discretion including, without limitation, the following circumstances: (i) in the event Borrower defaults beyond any applicable grace period in the payment of one or more scheduled payments of principal and interest, Lender may foreclose the Mortgage to recover such delinquent payments, or (ii) in the event Lender elects to accelerate less than the entire outstanding principal balance of the Loan, Lender may foreclose the Mortgage to recover so much of the principal balance of the Loan as Lender may accelerate and such other sums secured by the Mortgage as Lender may elect. Notwithstanding one or more partial foreclosures, the Property shall remain subject to the Mortgage to secure payment of sums secured by the Mortgage and not previously recovered.
          (c) Lender shall have the right from time to time to sever the Note and the other Loan Documents into one or more separate notes, mortgages and other security documents (the “Severed Loan Documents”) in such denominations as Lender shall determine in its sole discretion for purposes of evidencing and enforcing its rights and remedies provided hereunder. Borrower shall execute and deliver to Lender from time to time, promptly after the request of Lender, a severance agreement and such other documents as Lender shall request in order to effect the severance described in the preceding sentence, all in form and substance reasonably satisfactory to Lender. Borrower hereby absolutely and irrevocably appoints Lender as its true and lawful attorney, coupled with an interest, in its name and stead to make and execute all documents necessary or desirable to effect the aforesaid severance, Borrower ratifying all that its said attorney shall do by virtue thereof; provided, however, Lender shall not make or execute any such documents under such power until three (3) days after notice has been given to Borrower by Lender of Lender’s intent to exercise its rights under such power. Except as may be required in connection with a Securitization pursuant to Section 9.1 hereof, (i) Borrower shall not be obligated to pay any costs or expenses incurred in connection with the preparation, execution, recording or filing of the Severed Loan Documents, and (ii) the Severed Loan Documents shall not contain any representations, warranties or covenants not contained in the Loan Documents and any such representations and warranties contained in the Severed Loan Documents will be given by Borrower only as of the Closing Date.
          (d) Any amounts recovered from the Property or any other collateral for the Loan after an Event of Default may be applied by Lender toward the payment of any interest and/or principal of the Loan and/or any other amounts due under the Loan Documents in such order, priority and proportions as Lender in its sole discretion shall determine.

-71-


 

          Section 10.3 Right to Cure Defaults.
          Lender may, but without any obligation to do so and without notice to or demand on Borrower and without releasing Borrower from any obligation hereunder or being deemed to have cured any Event of Default hereunder, make, do or perform any obligation of Borrower hereunder in such manner and to such extent as Lender may deem necessary. Lender is authorized to enter upon the Property for such purposes, or appear in, defend, or bring any action or proceeding to protect its interest in the Property for such purposes, and the cost and expense actually incurred thereof (including reasonable attorneys’ fees to the extent permitted by law), with interest as provided in this Section 10.3, shall constitute a portion of the Debt and shall be due and payable to Lender upon demand. All such costs and expenses actually incurred by Lender in remedying such Event of Default or such failed payment or act or in appearing in, defending, or bringing any action or proceeding shall bear interest at the Default Rate, for the period after such cost or expense was incurred to the date of payment to Lender. All such costs and expenses incurred by Lender together with interest thereon calculated at the Default Rate shall be deemed to constitute a portion of the Debt and be secured by the liens, claims and security interests provided to Lender under the Loan Documents and shall be immediately due and payable upon demand by Lender therefore.
          Section 10.4 Remedies Cumulative.
          The rights, powers and remedies of Lender under this Agreement shall be cumulative and not exclusive of any other right, power or remedy which Lender may have against Borrower pursuant to this Agreement or the other Loan Documents, or existing at law or in equity or otherwise. Lender’s rights, powers and remedies may be pursued singly, concurrently or otherwise, at such time and in such order as Lender may determine in Lender’s sole discretion. No delay or omission to exercise any remedy, right or power accruing upon an Event of Default shall impair any such remedy, right or power or shall be construed as a waiver thereof, but any such remedy, right or power may be exercised from time to time and as often as may be deemed expedient. A waiver of one Default or Event of Default with respect to Borrower shall not be construed to be a waiver of any subsequent Default or Event of Default by Borrower or to impair any remedy, right or power consequent thereon.
          XI. MISCELLANEOUS
          Section 11.1 Successors and Assigns.
          Whenever in this Agreement any of the parties hereto is referred to, such reference shall be deemed to include the legal representatives, successors and assigns of such party. All covenants, promises and agreements in this Agreement, by or on behalf of Borrower, shall inure to the benefit of the legal representatives, successors and assigns of Lender.
          Section 11.2 Lender’s Discretion.
          Whenever pursuant to this Agreement Lender exercises any right given to it to approve or disapprove, or any arrangement or term is to be satisfactory to Lender, the decision of Lender to approve or disapprove or to decide whether arrangements or terms are satisfactory or

-72-


 

not satisfactory shall (except as is otherwise specifically herein provided) be in the sole discretion of Lender and shall be final and conclusive. Prior to a Securitization, whenever pursuant to this Agreement the Rating Agencies are given any right to approve or disapprove, or any arrangement or term is to be satisfactory to the Rating Agencies, the decision of Lender to approve or disapprove or to decide whether arrangements or terms are satisfactory or not satisfactory, based upon Lender’s determination of Rating Agency criteria, shall be substituted therefore.
          Section 11.3 Governing Law.
          (A) THIS AGREEMENT WAS NEGOTIATED IN THE STATE OF NEW YORK, AND MADE BY LENDER AND ACCEPTED BY BORROWER IN THE STATE OF NEW YORK, AND THE PROCEEDS OF THE NOTE DELIVERED PURSUANT HERETO WERE DISBURSED FROM THE STATE OF NEW YORK, WHICH STATE THE PARTIES AGREE HAS A SUBSTANTIAL RELATIONSHIP TO THE PARTIES AND TO THE UNDERLYING TRANSACTION EMBODIED HEREBY, AND IN ALL RESPECTS, INCLUDING, WITHOUT LIMITING THE GENERALITY OF THE FOREGOING, MATTERS OF CONSTRUCTION, VALIDITY AND PERFORMANCE, THIS AGREEMENT AND THE OBLIGATIONS ARISING HEREUNDER SHALL BE GOVERNED BY, AND CONSTRUED IN ACCORDANCE WITH, THE LAWS OF THE STATE OF NEW YORK APPLICABLE TO CONTRACTS MADE AND PERFORMED IN SUCH STATE (WITHOUT REGARD TO PRINCIPLES OF CONFLICT LAWS) AND ANY APPLICABLE LAW OF THE UNITED STATES OF AMERICA, EXCEPT THAT AT ALL TIMES THE PROVISIONS FOR THE CREATION, PERFECTION, AND ENFORCEMENT OF THE LIEN AND SECURITY INTEREST CREATED PURSUANT HERETO AND PURSUANT TO THE OTHER LOAN DOCUMENTS SHALL BE GOVERNED BY AND CONSTRUED ACCORDING TO THE LAW OF THE STATE IN WHICH THE PROPERTY IS LOCATED, IT BEING UNDERSTOOD THAT, TO THE FULLEST EXTENT PERMITTED BY THE LAW OF SUCH STATE, THE LAW OF THE STATE OF NEW YORK SHALL GOVERN THE CONSTRUCTION, VALIDITY AND ENFORCEABILITY OF ALL LOAN DOCUMENTS AND ALL OF THE OBLIGATIONS ARISING HEREUNDER OR THEREUNDER. TO THE FULLEST EXTENT PERMITTED BY LAW, BORROWER HEREBY UNCONDITIONALLY AND IRREVOCABLY WAIVES ANY CLAIM TO ASSERT THAT THE LAW OF ANY OTHER JURISDICTION GOVERNS THIS AGREEMENT AND THE NOTE, AND THIS AGREEMENT AND THE NOTE SHALL BE GOVERNED BY AND CONSTRUED IN ACCORDANCE WITH THE LAWS OF THE STATE OF NEW YORK PURSUANT TO SECTION 5-1401 OF THE NEW YORK GENERAL OBLIGATIONS LAW.
          (B) ANY LEGAL SUIT, ACTION OR PROCEEDING AGAINST LENDER OR BORROWER ARISING OUT OF OR RELATING TO THIS AGREEMENT MAY AT LENDER’S OPTION BE INSTITUTED IN ANY FEDERAL OR STATE COURT IN THE CITY OF NEW YORK, COUNTY OF NEW YORK, PURSUANT TO SECTION 5-1402 OF THE NEW YORK GENERAL OBLIGATIONS LAW AND BORROWER WAIVES ANY OBJECTIONS WHICH IT MAY NOW OR HEREAFTER HAVE BASED ON VENUE AND/OR FORUM NON CONVENIENS OF

-73-


 

ANY SUCH SUIT, ACTION OR PROCEEDING, AND BORROWER HEREBY IRREVOCABLY SUBMITS TO THE JURISDICTION OF ANY SUCH COURT IN ANY SUIT, ACTION OR PROCEEDING. BORROWER DOES HEREBY DESIGNATE AND APPOINT:
Stuart H. Widowski
44 South Bayles Avenue
Port Washington, New York 11050
AS ITS AUTHORIZED AGENT TO ACCEPT AND ACKNOWLEDGE ON ITS BEHALF SERVICE OF ANY AND ALL PROCESS WHICH MAY BE SERVED IN ANY SUCH SUIT, ACTION OR PROCEEDING IN ANY FEDERAL OR STATE COURT IN NEW YORK, NEW YORK, AND AGREES THAT SERVICE OF PROCESS UPON SAID AGENT AT SAID ADDRESS AND WRITTEN NOTICE OF SAID SERVICE MAILED OR DELIVERED TO BORROWER IN THE MANNER PROVIDED HEREIN SHALL BE DEEMED IN EVERY RESPECT EFFECTIVE SERVICE OF PROCESS UPON BORROWER, IN ANY SUCH SUIT, ACTION OR PROCEEDING IN THE STATE OF NEW YORK. BORROWER (I) SHALL GIVE PROMPT NOTICE TO LENDER OF ANY CHANGED ADDRESS OF ITS AUTHORIZED AGENT HEREUNDER, (II) MAY AT ANY TIME AND FROM TIME TO TIME DESIGNATE A SUBSTITUTE AUTHORIZED AGENT WITH AN OFFICE IN NEW YORK, NEW YORK (WHICH SUBSTITUTE AGENT AND OFFICE SHALL BE DESIGNATED AS THE PERSON AND ADDRESS FOR SERVICE OF PROCESS), AND (III) SHALL PROMPTLY DESIGNATE SUCH A SUBSTITUTE IF ITS AUTHORIZED AGENT CEASES TO HAVE AN OFFICE IN NEW YORK, NEW YORK OR IS DISSOLVED WITHOUT LEAVING A SUCCESSOR.
          Section 11.4 Modification, Waiver in Writing.
          No modification, amendment, extension, discharge, termination or waiver of any provision of this Agreement or of any other Loan Document, nor consent to any departure by Borrower therefrom, shall in any event be effective unless the same shall be in a writing signed by the party against whom enforcement is sought, and then such waiver or consent shall be effective only in the specific instance, and for the purpose, for which given. Except as otherwise expressly provided herein, no notice to, or demand on Borrower, shall entitle Borrower to any other or future notice or demand in the same, similar or other circumstances.
          Section 11.5 Delay Not a Waiver.
          Neither any failure nor any delay on the part of Lender in insisting upon strict performance of any term, condition, covenant or agreement, or exercising any right, power, remedy or privilege hereunder, or under any other Loan Document, shall operate as or constitute a waiver thereof, nor shall a single or partial exercise thereof preclude any other future exercise, or the exercise of any other right, power, remedy or privilege. In particular, and not by way of limitation, by accepting payment after the due date of any amount payable under this Agreement or any other Loan Document, Lender shall not be deemed to have waived any right either to require prompt payment when due of all other amounts due under this Agreement or the other

-74-


 

Loan Documents, or to declare a default for failure to effect prompt payment of any such other amount. Lender shall have the right to waive or reduce any time periods that Lender is entitled to under the Loan Documents in its sole and absolute discretion.
          Section 11.6 Notices.
          All notices, demands, requests, consents, approvals or other communications (any of the foregoing, a “Notice”) required, permitted, or desired to be given hereunder shall be in writing sent by telefax (with answer back acknowledged) or by registered or certified mail, postage prepaid, return receipt requested, or delivered by hand or reputable overnight courier addressed to the party to be so notified at its address hereinafter set forth, or to such other address as such party may hereafter specify in accordance with the provisions of this Section 11.6. Any Notice shall be deemed to have been received: (a) three (3) days after the date such Notice is mailed, (b) on the date of sending by facsimile transmission if sent during business hours on a Business Day (otherwise on the next Business Day), (c) on the date of delivery by hand if delivered during business hours on a Business Day (otherwise on the next Business Day), and (d) on the next Business Day if sent by an overnight commercial courier, in each case addressed to the parties as follows:
If to Lender:
Eurohypo AG, New York Branch
1114 Avenue of the Americas
Twenty-Ninth Floor
New York, New York 10036
Attention: Head of Portfolio Operations
Facsimile No.: (212) 479-5800
with a copy to:
Eurohypo AG, New York Branch
1114 Avenue of the Americas
Twenty-Ninth Floor
New York, New York 10036
Attention: Legal Director
Facsimile No.: (212) 479-5800
with a copy to:
Cadwalader, Wickersham & Taft LLP
100 Maiden Lane
New York, New York 100038
Attention: Michael G. Kavourias, Esq.
Facsimile No.: (212) 504-6666

-75-


 

If to Borrower:
Cedar-Franklin Village LLC
c/o Cedar Shopping Centers Partnership, L.P.
44 South Bayles Avenue
Suite 304
Port Washington, NY 11050
Attention: Brenda J. Walker and Stuart H. Widowski, Esq.
Facsimile No.: (516) 767-6497
with a copy to:
Stroock & Stroock, & Lavan, LLP
180 Maiden Lane
New York, New York 10038
Attention: Steven P. Moskowitz
Facsimile No.: (212) 806-6006
          Section 11.7 Trial by Jury.
          BORROWER AND LENDER EACH HEREBY AGREES NOT TO ELECT A TRIAL BY JURY OF ANY ISSUE TRIABLE OF RIGHT BY JURY, AND WAIVES ANY RIGHT TO TRIAL BY JURY FULLY TO THE EXTENT THAT ANY SUCH RIGHT SHALL NOW OR HEREAFTER EXIST WITH REGARD TO THE LOAN DOCUMENTS, OR ANY CLAIM, COUNTERCLAIM OR OTHER ACTION ARISING IN CONNECTION THEREWITH. THIS WAIVER OF RIGHT TO TRIAL BY JURY IS GIVEN KNOWINGLY AND VOLUNTARILY BY BORROWER AND LENDER, AND IS INTENDED TO ENCOMPASS INDIVIDUALLY EACH INSTANCE AND EACH ISSUE AS TO WHICH THE RIGHT TO A TRIAL BY JURY WOULD OTHERWISE ACCRUE. EACH PARTY IS HEREBY AUTHORIZED TO FILE A COPY OF THIS PARAGRAPH IN ANY PROCEEDING AS CONCLUSIVE EVIDENCE OF THIS WAIVER.
          Section 11.8 Headings.
          The Article and/or Section headings and the Table of Contents in this Agreement are included herein for convenience of reference only and shall not constitute a part of this Agreement for any other purpose.
          Section 11.9 Severability.
          Wherever possible, each provision of this Agreement shall be interpreted in such manner as to be effective and valid under applicable law, but if any provision of this Agreement shall be prohibited by or invalid under applicable law, such provision shall be ineffective to the extent of such prohibition or invalidity, without invalidating the remainder of such provision or the remaining provisions of this Agreement.

-76-


 

          Section 11.10 Preferences.
          Lender shall have the continuing and exclusive right to apply or reverse and reapply any and all payments by Borrower to any portion of the obligations of Borrower hereunder. To the extent Borrower makes a payment or payments to Lender, which payment or proceeds or any part thereof are subsequently invalidated, declared to be fraudulent or preferential, set aside or required to be repaid to a trustee, receiver or any other party under any bankruptcy law, state or federal law, common law or equitable cause, then, to the extent of such payment or proceeds received, the obligations hereunder or part thereof intended to be satisfied shall be revived and continue in full force and effect, as if such payment or proceeds had not been received by Lender.
          Section 11.11 Waiver of Notice.
          Borrower shall not be entitled to any notices of any nature whatsoever from Lender except with respect to matters for which this Agreement or the other Loan Documents specifically and expressly provide for the giving of notice by Lender to Borrower and except with respect to matters for which Borrower is not, pursuant to applicable Legal Requirements, permitted to waive the giving of notice. Borrower hereby expressly waives the right to receive any notice from Lender with respect to any matter for which this Agreement or the other Loan Documents do not specifically and expressly provide for the giving of notice by Lender to Borrower.
          Section 11.12 Remedies of Borrower.
          In the event that a claim or adjudication is made that Lender or its agents have acted unreasonably or unreasonably delayed acting in any case where, by law or under this Agreement or the other Loan Documents, Lender or such agent, as the case may be, has an obligation to act reasonably or promptly, neither Lender nor its agents shall be liable for any monetary damages, and Borrower’s sole remedy shall be limited to commencing an action seeking injunctive relief or declaratory judgment. Any action or proceeding to determine whether Lender has acted reasonably shall be determined by an action seeking declaratory judgment.
          Section 11.13 Expenses; Indemnity.
          (a) Borrower shall pay or, if Borrower fails to pay, reimburse Lender upon receipt of notice from Lender, for all reasonable costs and expenses (including reasonable attorneys’ fees and disbursements actually incurred by Lender in connection with (i) the preparation, negotiation, execution and delivery of this Agreement and the other Loan Documents and the consummation of the transactions contemplated hereby and thereby and all the costs of furnishing all opinions of counsel (including without limitation any opinions requested by Lender as to any legal matters pertaining to this Agreement, the other Loan Documents or the Property); (ii) Borrower’s ongoing performance of and compliance with Borrower’s agreements and covenants contained in this Agreement and the other Loan Documents on its part to be performed or complied with after the Closing Date, including, without limitation, confirming compliance with environmental and insurance requirements;

-77-


 

(iii) the negotiation, preparation, execution, delivery and administration of any consents, amendments, waivers or other modifications to this Agreement and the other Loan Documents and any other documents or matters requested by Borrower; (iv) the filing and recording fees and expenses, Title Insurance and reasonable fees and expenses of counsel for providing to Lender all required legal opinions, and other similar expenses incurred, in creating and perfecting the Liens in favor of Lender pursuant to this Agreement and the other Loan Documents; (v) enforcing or preserving any rights, in response to third party claims or the prosecuting or defending of any action or proceeding or other litigation or otherwise, in each case against, under or affecting Borrower, this Agreement, the other Loan Documents, the Property, or any other security given for the Loan; and (vi) enforcing any obligations of or collecting any payments due from Borrower under this Agreement, the other Loan Documents or with respect to the Property or in connection with any refinancing or restructuring of the credit arrangements provided under this Agreement in the nature of a “work out” or of any insolvency or bankruptcy proceedings; provided, however, that Borrower shall not be liable for the payment of any such costs and expenses to the extent the same arise by reason of the gross negligence, illegal acts, fraud, bad faith or willful misconduct of Lender.
          (b) Borrower shall indemnify, defend and hold harmless Lender and its officers, directors, agents, employees (and the successors and assigns of the foregoing) (the “Lender Indemnitees”) from and against any and all liabilities, obligations, losses, damages, penalties, actions, judgments, suits, claims, costs, expenses and disbursements of any kind or nature whatsoever (including, without limitation, the reasonable fees and disbursements of counsel for the Lender Indemnitees in connection with any investigative, administrative or judicial proceeding commenced or threatened, whether or not the Lender Indemnitees shall be designated a party thereto), that may be imposed on, incurred by, or asserted against the Lender Indemnitees in any manner relating to or arising out of (i) any breach by Borrower of its obligations under, or any material misrepresentation by Borrower contained in, this Agreement or the other Loan Documents, or (ii) the use or intended use of the proceeds of the Loan (collectively, the “Indemnified Liabilities”); provided, however, that Borrower shall not have any obligation to the Lender Indemnitees hereunder to the extent that such Indemnified Liabilities arise from the bad faith, gross negligence, illegal acts, fraud or willful misconduct of the Lender Indemnitees. To the extent that the undertaking to indemnify, defend and hold harmless set forth in the preceding sentence may be unenforceable because it violates any law or public policy, Borrower shall pay the maximum portion that it is permitted to pay and satisfy under applicable law to the payment and satisfaction of all Indemnified Liabilities incurred by the Lender Indemnitees.
          Section 11.14 Schedules Incorporated.
          The Schedules annexed hereto are hereby incorporated herein as a part of this Agreement with the same effect as if set forth in the body hereof.
          Section 11.15 Offsets, Counterclaims and Defenses.
          Any assignee of Lender’s interest in and to this Agreement and the other Loan Documents shall take the same free and clear of all offsets, counterclaims or defenses which are unrelated to such documents which Borrower may otherwise have against any assignor of such

-78-


 

documents, and no such unrelated counterclaim or defense shall be interposed or asserted by Borrower in any action or proceeding brought by any such assignee upon such documents and any such right to interpose or assert any such unrelated offset, counterclaim or defense in any such action or proceeding is hereby expressly waived by Borrower.
          Section 11.16 No Joint Venture or Partnership; No Third Party Beneficiaries.
          (a) Borrower and Lender intend that the relationships created hereunder and under the other Loan Documents be solely that of borrower and lender. Nothing herein or therein is intended to create a joint venture, partnership, tenancy in common, or joint tenancy relationship between Borrower and Lender nor to grant Lender any interest in the Property other than that of mortgagee, beneficiary or lender.
          (b) This Agreement and the other Loan Documents are solely for the benefit of Lender and nothing contained in this Agreement or the other Loan Documents shall be deemed to confer upon anyone other than Lender or Borrower any right to insist upon or to enforce the performance or observance of any of the obligations contained herein or therein. All conditions to the obligations of Lender to make the Loan hereunder are imposed solely and exclusively for the benefit of Lender and no other Person shall have standing to require satisfaction of such conditions in accordance with their terms or be entitled to assume that Lender will refuse to make the Loan in the absence of strict compliance with any or all thereof and no other Person shall under any circumstances be deemed to be a beneficiary of such conditions, any or all of which may be freely waived in whole or in part by Lender if, in Lender’s sole discretion, Lender deems it advisable or desirable to do so.
          Section 11.17 Publicity.
          All news releases, publicity or advertising by Borrower or its Affiliates through any media intended to reach the general public which refers to the Loan Documents or the financing evidenced by the Loan Documents, to Lender or any of its Affiliates shall be subject to the prior written approval of Lender. Borrower authorizes Lender to issue press releases, advertisements and other promotional materials in connection with Lender’s own promotional and marketing activities, including in connection with a Secondary Market Transaction, and such materials may describe the Loan in general terms or in detail and Lender’s participation therein in the Loan. All references to Lender contained in any press release, advertisement or promotional material issued by Borrower shall be reasonably approved in writing by Lender in advance of issuance.
          Section 11.18 Waiver of Marshalling of Assets.
          To the fullest extent permitted by law, Borrower, for itself and its successors and assigns, waives all rights to a marshalling of the assets of Borrower, Borrower’s partners and others with interests in Borrower, and of the Property, and shall not assert any right under any laws pertaining to the marshalling of assets, the sale in inverse order of alienation, homestead exemption, the administration of estates of decedents, or any other matters whatsoever to defeat, reduce or affect the right of Lender under the Loan Documents to a sale of the Property for the

-79-


 

collection of the Debt without any prior or different resort for collection or of the right of Lender to the payment of the Debt out of the net proceeds of the Property in preference to every other claimant whatsoever.
          Section 11.19 Waiver of Offsets/Defenses/Counterclaims.
          Borrower hereby waives the right to assert a counterclaim, other than a compulsory counterclaim, in any action or proceeding brought against it by Lender or its agents or otherwise to offset any obligations to make the payments required by the Loan Documents. No failure by Lender to perform any of its obligations hereunder shall be a valid defense to, or result in any offset against, any payments which Borrower is obligated to make under any of the Loan Documents.
          Section 11.20 Conflict; Construction of Documents; Reliance.
          In the event of any conflict between the provisions of this Agreement and any of the other Loan Documents, the provisions of this Agreement shall control. The parties hereto acknowledge that they were represented by competent counsel in connection with the negotiation, drafting and execution of the Loan Documents and that such Loan Documents shall not be subject to the principle of construing their meaning against the party which drafted them. Borrower acknowledges that, with respect to the Loan, Borrower shall rely solely on its own judgment and advisors in entering into the Loan without relying in any manner on any statements, representations or recommendations of Lender or any parent, subsidiary or Affiliate of Lender. Lender shall not be subject to any limitation whatsoever in the exercise of any rights or remedies available to it under any of the Loan Documents or any other agreements or instruments which govern the Loan by virtue of the ownership by it or any parent, subsidiary or Affiliate of Lender of any equity interest any of them may acquire in Borrower, and Borrower hereby irrevocably waives the right to raise any defense or take any action on the basis of the foregoing with respect to Lender’s exercise of any such rights or remedies. Borrower acknowledges that Lender engages in the business of real estate financings and other real estate transactions and investments which may be viewed as adverse to or competitive with the business of Borrower or its Affiliates.
          Section 11.21 Brokers and Financial Advisors.
          Borrower hereby represents that it has dealt with no financial advisors, brokers, underwriters, placement agents, agents or finders in connection with the transactions contemplated by this Agreement. Borrower shall indemnify, defend and hold Lender harmless from and against any and all claims, liabilities, costs and expenses of any kind (including Lender’s attorneys’ fees and expenses) in any way relating to or arising from a claim by any Person that such Person acted on behalf of Borrower or Lender in connection with the transactions contemplated herein. The provisions of this Section 11.21 shall survive the expiration and termination of this Agreement and the payment of the Debt.
          Section 11.22 Exculpation.
          Subject to the qualifications below, Lender shall not enforce the liability and obligation of Borrower to perform and observe the obligations contained in the Note, this

-80-


 

Agreement, the Mortgage or the other Loan Documents by any action or proceeding wherein a money judgment shall be sought against Borrower, except that Lender may bring a foreclosure action, an action for specific performance or any other appropriate action or proceeding to enable Lender to enforce and realize upon its interest under the Note, this Agreement, the Mortgage and the other Loan Documents, or in the Property, the Rents, or any other collateral given to Lender pursuant to the Loan Documents; provided, however, that, except as specifically provided herein, any judgment in any such action or proceeding shall be enforceable against Borrower only to the extent of Borrower’s interest in the Property, in the Rents, Net Proceeds and in any other collateral given to Lender, and Lender, by accepting the Note, this Agreement, the Mortgage and the other Loan Documents, shall not sue for, seek or demand any deficiency judgment against Borrower in any such action or proceeding under or by reason of or under or in connection with the Note, this Agreement, the Mortgage or the other Loan Documents. The provisions of this Section shall not, however, (a) constitute a waiver, release or impairment of any obligation evidenced or secured by any of the Loan Documents; (b) impair the right of Lender to name Borrower as a party defendant in any action or suit for foreclosure and sale under the Mortgage; (c) affect the validity or enforceability of any guaranty made in connection with the Loan or any of the rights and remedies of Lender thereunder; (d) impair the right of Lender to obtain the appointment of a receiver; (e) impair the enforcement of the Assignment of Leases; (f) constitute a prohibition against Lender to seek a deficiency judgment against Borrower in order to fully realize the security granted by the Mortgage or to commence any other appropriate action or proceeding in order for Lender to exercise its remedies against the Property; or (g) constitute a waiver of the right of Lender to enforce the liability and obligation of Borrower, by money judgment or otherwise, to the extent of any loss, damage, cost, expense, liability, claim or other obligation incurred by Lender (including attorneys’ fees and costs reasonably incurred) arising out of or in connection with and Borrower shall be personally liable for the following:
     (i) fraud or intentional misrepresentation by Borrower or any guarantor in connection with the Loan;
     (ii) the willful misconduct of Borrower;
     (iii) the breach of any representation, warranty, covenant or indemnification provision in the Environmental Indemnity or in the Mortgage concerning environmental laws, hazardous substances and asbestos and any indemnification of Lender with respect thereto in either document;
     (iv) the removal or disposal of any portion of the Property after an Event of Default;
     (v) the misapplication or conversion by Borrower of (A) any insurance proceeds paid by reason of any loss, damage or destruction to the Property, (B) any Awards or other amounts received in connection with the Condemnation of all or a portion of the Property, or (C) any Rents following an Event of Default or any Rents collected for more than one month in advance to the extent such Rents or any other payments in respect of the Leases and other income of the Property or any other collateral are not applied to the costs of maintenance and operation of the Property and to the

-81-


 

payment of taxes, lien claims, insurance premiums, Debt Service and other amounts due under the Loan Documents;
     (vi) misappropriation or conversion of any security deposits, advance deposits or any other deposits collected with respect to the Property which are not delivered to Lender upon a foreclosure of the Property or action in lieu thereof, except to the extent any such security deposits were applied in accordance with the terms and conditions of any of the Leases prior to the occurrence of the Event of Default that gave rise to such foreclosure or action in lieu thereof;
     (vii) Borrower’s failure to maintain insurance as required by this Agreement or to pay any taxes or assessments affecting the Property as required by this Agreement;
     (viii) misappropriation, removal or disposal (except in the ordinary course of Borrower’s business) of any Personal Property (as defined in the Mortgage) affixed to the Property which constitutes a portion of the collateral for the Loan;
     (ix) failure to pay any charges when due for labor or materials that create Liens on the Property (to the extent net cash flow from the Property is available for payment of such charges) unless the same are being contested in accordance with this Agreement;
     (x) failure to restore physical waste of the Property; or
     (xi) Borrower fails to appoint a new property manager upon the request of Lender after an Event of Default, as required by, and in accordance with the terms and provisions of, this Agreement and the Mortgage.
          Notwithstanding anything to the contrary in this Agreement, the Note or any of the Loan Documents, (A) Lender shall not be deemed to have waived any right which Lender may have under Section 506(a), 506(b), 1111(b) or any other provisions of the Bankruptcy Code to file a claim for the full amount of the Debt or to require that all collateral shall continue to secure all of the Debt owing to Lender in accordance with the Loan Documents, and (B) the Debt shall be fully recourse to Borrower in the event that: (i) Borrower fails to obtain Lender’s prior consent to any subordinate financing or other voluntary Lien encumbering the Property (other than Permitted Encumbrances); (ii) Borrower fails to obtain Lender’s prior consent to any Prohibited Transfer as required by the Mortgage or this Agreement; (iii) Borrower files a voluntary petition under the Bankruptcy Code or any other Federal or state bankruptcy or insolvency law; (iv) an Affiliate which controls, directly or indirectly, Borrower files, or joins in the filing of, an involuntary petition against Borrower under the Bankruptcy Code or any other Federal or state bankruptcy or insolvency law, or solicits or causes to be solicited petitioning creditors for any involuntary petition against Borrower from any Person; (v) Borrower files an answer consenting to or otherwise acquiescing in or joining in any involuntary petition filed against it, by any other Person under the Bankruptcy Code or any other Federal or state bankruptcy or insolvency law, or solicits or causes to be solicited petitioning creditors for any involuntary petition from any Person; (vi) any Affiliate which controls Borrower consents to or acquiesces in or joins in an application for the appointment of a custodian, receiver, trustee, or

-82-


 

examiner for Borrower or any portion of the Property; (vii) Borrower makes an assignment for the benefit of creditors, or admits, in writing or in any legal proceeding, its insolvency or inability to pay its debts as they become due; or (viii) Borrower defaults in the observance or performance of any of its obligations under Section 3.1.24.
          Section 11.23 Prior Agreements.
          This Agreement and the other Loan Documents contain the entire agreement of the parties hereto and thereto in respect of the transactions contemplated hereby and thereby, and all prior agreements among or between such parties, whether oral or written, including, without limitation, the term sheet dated September 30, 2004 between Borrower and Lender, are superseded by the terms of this Agreement and the other Loan Documents.
          Section 11.24 Servicer.
          (a) At the option of Lender, the Loan may be serviced by a servicer (the “Servicer”) selected by Lender and Lender may delegate all or any portion of its responsibilities under this Agreement and the other Loan Documents to the Servicer pursuant to a servicing agreement (the “Servicing Agreement”) between Lender and Servicer. Borrower shall be responsible for any reasonable set-up fees or any other initial costs relating to or arising under the Servicing Agreement; provided, however, that Borrower shall not be responsible for payment of the monthly servicing fee due to the Servicer under the Servicing Agreement. Servicer shall, however, be entitled to reimbursement of costs and expenses as and to the same extent (but without duplication) as Lender is entitled thereto under the applicable provisions of this Agreement and the other Loan Documents.
          (b) Upon notice thereof from Lender, Servicer shall have the right to exercise all rights of Lender and enforce all obligations of Borrower pursuant to the provisions of this Agreement, the Note and the other Loan Documents.
          (c) Provided Borrower shall have been given notice of Servicer’s address by Lender, Borrower shall deliver to Servicer duplicate originals of all notices and other instruments which Borrower may or shall be required to deliver to Lender pursuant to this Agreement, the Note and the other Loan Documents (and no delivery of such notices or other instruments by Borrower shall be of any force or effect unless delivered to Lender and Servicer as provided above).
          Section 11.25 Joint and Several Liability.
          If more than one Person has executed this Agreement as “Borrower,” the representations, covenants, warranties and obligations of all such Persons hereunder shall be joint and several.
          Section 11.26 Creation of Security Interest.
          Notwithstanding any other provision set forth in this Agreement, the Note, the Mortgage or any of the other Loan Documents, Lender may at any time create a security interest in all or any portion of its rights under this Agreement, the Note, the Mortgage and any other

-83-


 

Loan Document (including, without limitation, the advances owing to it) in favor of any Federal Reserve Bank in accordance with Regulation A of the Board of Governors of the Federal Reserve System.
          Section 11.27 Assignments and Participations.
          (a) The Lender may assign to one or more Persons all or a portion of its rights and obligations under this Loan Agreement.
          (b) Upon such execution and delivery, from and after the effective date specified in such assignment, the assignee thereunder shall be a party hereto and have the rights and obligations of Lender hereunder.
          (c) Lender may, in connection with any assignment or participation or proposed assignment or participation pursuant to this Section 11.27, disclose to the assignee or participant or proposed assignee or participant, as the case may be, any information relating to Borrower or any of its Affiliates or to any aspect of the Loan that has been furnished to the Lender by or on behalf of the Borrower or any of its Affiliates.
          Section 11.28 Set-Off.
          In addition to any rights and remedies of Lender provided by this Loan Agreement and by law, the Lender shall have the right, without prior notice to Borrower, any such notice being expressly waived by Borrower to the extent permitted by applicable law, upon any amount becoming due and payable by Borrower hereunder (whether at the stated maturity, by acceleration or otherwise) to set-off and appropriate and apply against such amount any and all deposits (general or special, time or demand, provisional or final), in any currency, and any other credits, indebtedness or claims, in any currency, in each case whether direct or indirect, absolute or contingent, matured or unmatured, at any time held or owing by Lender or any Affiliate thereof to or for the credit or the account of Borrower. Lender agrees promptly to notify Borrower after any such set-off and application made by Lender; provided that the failure to give such notice shall not affect the validity of such set-off and application.
          Section 11.29 Component Notes.
          Lender, without in any way limiting Lender’s other rights hereunder, in its sole and absolute discretion, shall have the right at any time to require Borrower to execute and deliver “component” notes (including senior and junior notes) in replacement of the Note as evidence of the Loan, which notes may be paid in such order of priority as may be designated by Lender, provided that (i) the aggregate principal amount of such “component” notes shall equal the outstanding principal balance of the Loan, (ii) the weighted average interest rate of all such “component” notes shall on the date created equal the interest rate which was applicable to the Loan, (iii) the Debt Service on all such “component” notes shall on the date created equal the Debt Service which was due under the Loan immediately prior to the creation of such component notes and (iv) the other terms and provisions of each of the “component” notes shall be identical in substance and substantially similar in form to the Loan Documents. Borrower, at its cost and expense, shall cooperate with all reasonable requests of Lender in order to establish the “component” notes and shall execute and deliver such documents as shall reasonably be required

-84-


 

by Lender and any Rating Agency in connection therewith, all in form and substance reasonably satisfactory to Lender and satisfactory to any Rating Agency, including, without limitation, the severance of security documents if requested. In the event Borrower fails to execute and deliver such documents to Lender within five (5) Business Days following such request by Lender, Borrower hereby absolutely and irrevocably appoints Lender as its true and lawful attorney, coupled with an interest, in its name and stead to make and execute all documents necessary or desirable to effect such transactions, Borrower ratifying all that such attorney shall do by virtue thereof subject to the limitations set forth in this Section 11.29.
          It shall be an Event of Default under this Agreement, the Note, the Mortgage and the other Loan Documents if Borrower fails to comply with any of the terms, covenants or conditions of this Section 11.29 within ten (10) Business Days of notice thereof.
          All legal fees and expenses incurred by Borrower in connection with this Section 11.29 (including costs and expenses incurred by Borrower pursuant to any requests made by Lender under Section 11.29) shall be paid by Borrower except Borrower’s legal fees.
          Section 11.30 Approvals; Third Parties; Conditions.
          All approval rights retained or exercised by Lender with respect to Leases, contracts, plans, studies and other matters are solely to facilitate Lender’s credit underwriting, and shall not be deemed or construed as a determination that Lender has passed on the adequacy thereof for any other purpose and may not be relied upon by Borrower or any other Person. This Agreement is for the sole and exclusive use of Lender and Borrower and may not be enforced, nor relied upon, by any Person other than Lender and Borrower. All conditions of the obligations of Lender hereunder, including the obligation to make advances, if any, are imposed solely and exclusively for the benefit of Lender, its successors and assigns, and no other Person shall have standing to require satisfaction of such conditions or be entitled to assume that Lender will refuse to make advances in the absence of strict compliance with any or all of such conditions, and no other Person shall, under any circumstances, be deemed to be a beneficiary of such conditions, any and all of which may be freely waived in whole or in part by Lender at any time in Lender’s sole discretion.
          Section 11.31 Limitation on Liability of Lender’s Officers, Employees, etc.
          Any obligation or liability whatsoever of Lender which may arise at any time under this Agreement or any other Loan Document shall be satisfied, if at all, out of Lender’s interest in the Property only. No such obligation or liability shall be personally binding upon, nor shall resort for the enforcement thereof be had to, the property of any of Lender’s shareholders, directors, officers, employees or agents, regardless of whether such obligation or liability is in the nature of contract, tort or otherwise.
[NO FURTHER TEXT ON THIS PAGE]

-85-


 

          IN WITNESS WHEREOF, the parties hereto have caused this Loan Agreement to be duly executed by their duly authorized representatives, all as of the day and year first above written.
         
  LENDER:

EUROHYPO AG, NEW YORK BRANCH, the New York branch of a German banking corporation
 
 
  By:   /s/ Bryan Donohoe    
    Name:   Bryan Donohoe   
    Title:   Vice President   
 
     
  By:   /s/ Jonathan Hirshey    
    Name:   Jonathan Hirshey   
    Title:   Vice President   

 


 

          IN WITNESS WHEREOF, the parties hereto have caused this Loan Agreement to be duly executed by their duly authorized representatives, all as of the day and year first above written.
         
  BORROWER:

CEDAR-FRANKLIN VILLAGE LLC,
a Delaware limited liability company
 
 
  By:   Cedar-Franklin Village 2 LLC, a Delaware limited liability company, its sole member    
 
     
  By:   Cedar Shopping Centers Partnership, L.P., a Delaware limited partnership, its sole member    
 
     
  By:   Cedar Shopping Centers, Inc., a Maryland corporation, its general partner    
 
     
  By:   /s/ Brenda J. Walker    
    Name:   Brenda J. Walker   
    Title:   Vice President   

 


 

SCHEDULE I
(RENT ROLL)
Schedule I

 


 

Oct 22 2004
                                                                                         
                            Approx   Base                           (Money Owed)
            Call Up   Expiration           Square   Rent   Current   CAM   Tax   Ins   Account   Security
    Lease   Use   Date   Date   Start Date   Options   Feet   Sq Ft   Rent   Billing   Billing   Billing   Receivable   Deposit
Shopping Center                                                                        
 
  Taco Bell   restaurant       9-30-2011   9-22-1991   N/A     2,000       20.00       3,333.33       329.13       202.72     Annual     0.00          
 
  D’Angelos   restaurant       1-31-2008   1-2-1988   N/A     2,500       25.29       5,267.75       411.42       253.40     Annual                
 
  Funco   games       8-31-2006   6-16-1994   N/A     1,500       23.00       2,875.00       189.67       152.04     Annual                
 
  Radio Shack   electronics   8-01-2005   1-31-2006   1-01-1988   1-4yr     2,000       21.00       3,500.00       266.66       202.72     Annual                
 
  Cellular One   cell phone       10-31-2006   5-01-1997   N/A     1,857       23.62       3,655.53       305.60       188.22     Annual                
 
  Stop and Shop   supermarket   12-1-2007   7-31-2008   7-16-2008   1-5yr     55,503       16.04       74,211.07       3,825.98     Quarterly   Annual     68,091.50          
    (Stop and Shop) Does not reflect road at front entrance which is ongoing and Includes CAM adjustment for 6 months, to be adjusted at year end                
 
  VIII Mall Liquors   liquor store   9-30-2004   9-30-2005   10-1-2000   2-5yr     3,550       21.47       6,076.71       584.21       340.71     Annual             2,975.00  
 
  Online Comm. (Nextel)   cell phone    8-31-2005   05-31-2006   05-15-2001   1-5yr     1,500       27.00       3,374.59       246.85       137.50     Annual     1,846.96       6,000.00  
 
  Bath & Body Works   skin care   12-01-2010   08-31-2011   08/23/2001   2-5yr     2,500       22.00       4,583.33       411.42       230.00     Annual                
 
  KB Toys (chap l1)   toy store       01-31-2005   07-16-1988   N/A     14,414       10.25       12,311.96       1,783.31     Quarterly   Annual     19,259.28          
 
  Old Hunan Gourmet   vacant               N/A     3,407       0.00                                                  
 
  Coconuts   record store       3-31-2006   04-1-1988   N/A     4,986       18.50       7,686.75       820.53       505.38     Annual                
 
  Elizabeth Grady   skin care       05/31/2009   05-28-1992   N/A     1,600       22.20       2,960.50       263.31       162.17     Annual             1,733.33  
 
  General Nutrition   health       07-31-2005   07-13-1995   N/A     1,709       18.50       2,634.71       281.24       173.22     Annual                
 
  Weathervane (Chap 11)   chap 11       1-31-2006   03-07-1988   N/A     3,850       21.00       6,737.50       633.58       390.23     Annual     24,998.57          
 
  DressBarn   clothing   12-31-2004   06-30-2005   03-07-1988   1-4yr     10,150       21.46       18,152.55       1,670.35       1,028.80     Annual     0.00       5,000.00  
 
  Payless shoe   shoes       02-28-2008   03-07-1988   N/A     2,550       19.00       4,037.50       325.00       258.47     Annual     0.00          
 
  TJX (Marshalls)   clothing   07-31-2008   01-31-2009   07-16-1988   1-5yr     26,890       9.00       20,167.50       4,258.36     Quarterly   Annual     0.00          
 
  Pet Corner   pet store   09-01-2003   03/31/2005   04/01/2002   1-5yr     5,000       21.00       7,291.66       822.83       495.83     Annual                
 
  The Mens Warehouse   mens clothing       01-31-2008   10-01-1996   N/A     3,600       18.00       5,400.00       592.44       364.90     Annual                
***
  Future Salleys Alley   -lease signed-       07/31/2009   08/01/2004   N/A     3,000       22.75       5,687.50       493.30       413.19     Annual             3,600.00  
 
  Salleys Alley (fut. Bost. Hairs gift & home       12-31-2002   12-05-1987   N/A     1,800       0.00       0.00       0.00       0.00     Annual     0.00       0.00  
 
  Hairs Boston   hair care       10-31-2002   12-05-1987   N/A     1,411       23.04       2,709.36       232.20       143.02     Annual             3,527.49  
 
  Cambridge Eye (Chap 11)   eye care       12-31-2007   01-01-1988   N/A     2,400       21.22       4,243.60       394.96       243.26     Annual     1,223.67          
 
  Crystal Card & Gifts (Hallmar card store       01-31-2008   2-1-1988   N/A     4,949       18.00       7,423.50       814.44       501.63     Annual     -42.25          
 
  Papa Gino’s   restaurant       12-31-2007   12-08-1987   N/A     3,120       23.00       5,980.00       513.45       316.24     Annual                
 
  Fleet National Bank   bank   08-01-2011   04-30-2012   04-08-2002   2-5yr     2,550       25.46       5,410.59       419.65       233.75     Annual                
 
  Fei Yue (Teppanyaki)   japanese rest.   08-31-2011   08/31/2013   09-01-2003   1-5yr     3,908       20.00       6,513.33       455.93       407.08     Annual             11,945.50  
 
  Applebee’s   restaurant   08-15-2004   02-28-2005   02-15-1988   1-5yr     5,682       21.41       10,136.00       935.07       575.93     Annual                
 
  Bank Boston (Fleet ATM)   Bank ATM       01-31-2008   01-15-1988   N/A     216       184.19       3,315.42       35.55     Quarterly   Annual             3,200.00  
 
  Longhorn Steakhouse   restaurant   08-31-2009   08-31-2010   08-12-2000   3-5yr     6,323       20.75       10,933.52       1,040.56       607.68     Annual                
 
  Triple A   travel, Insur.   04-01-2006   12-31-2006   12/13/2001   1-5yr     3,546       20.02       5,915.00       584.05       325.00     Annual                
 
  Mattress Discounters   mattresses   07-01-2005   12/31/2005   01-01-2001   3-5yr     3,908       20.00       6,513.33       643.13       374.52     Annual                
 
  Village Photo current   photo   12-01-2007   08-31-2008   09-01-2003   1-5yr     1,967       21.00       3,442.25       323.70       188.50     Annual                
 
  Blockbuster Video   video       07-31-2004   08-03-1999   N/A     3,550       16.00       4,733.33       584.21     Annual   Annual                
 
  Village Photo (Old)   fut. stop shop               N/A     1,500                                     Annual                
 
  Superior Ceaners (Old)   fut. stop shop               N/A     1,898                                     Annual     0.00          
 
  L’Equips   hair care   06-01-2004   02-28-2005   03-01-2000   1-5yr     2,070       21.80       3,761.01       340.65       198.38     Annual             1,100.00  
 
  Panera Bread   restaurant   02-01-2011   06-30-2011   06/07/2001   3-5yr     3,908       22.25       7,246.08       643.13       370.00     Annual                
 
  Total                         208,772               288,221.76       26,475.87       9,984.49       0.00       115,377.73       39,081.32  
Oct 22 2004
                                                                                         
                            Approx   Base                           (Money Owed)
            Call Up   Expiration           Square   Rent   Current   CAM   Tax   Ins   Account   Security
    Lease       Date   Date   Start Date   Options   Feet   Sq Ft   Rent   Billing   Billing   Billing   Receivable   Deposit
500 Franklin Village Drive                                                                        
*
  Dr. Robert Gushard   opthomologist   10-01-2003   06-30-2005   09-01-1993   N/A     1,593       21.45       2,847.06       132.75       132.75       39.82               863.90  
*
  Milford Regional (PT)   Physical thera.   10-01-2006   06-30-2008   07-01-2003   1-5yr     3,937       20.10       6,594.48       328.08       328.08       98.43                  
*
  Marriott Management   corp. office       12-31-2005   05-01-1992   1-5yr     3,150       21.66       5,686.93       262.50       262.50       78.75                  
 
  Century 21   real estate       01-31-2008   01-15-1999   N/A     2,565       21.90       4,681.05       276.74       254.36     Annual             3,852.00  
*
  Hormel Foods   corp. office       01-31-2007   02-01-1993   N/A     2,734       24.33       5,542.19       227.83       227.83       68.35                  
 
*   denotes office tenants (gross rent plus electricity)


 

                                                                                         
                            Approx   Base                           (Money Owed)
            Call Up   Expiration           Square   Rent   Current   CAM   Tax   Ins   Account   Security
    Lease       Date   Date   Start Date   Options   Feet   Sq Ft   Rent   Billing   Billing   Billing   Receivable   Deposit
*
  Dr. Jamila Khalil   dentist       12-31-2006   12-20-1994   N/A     1,500       19.69       2,461.33       125.00       125.00       37.50               1,687.50  
*
  Mortgage Financial   mortgage       05-31-2005   06-01-2002   N/A     2,481       17.59       3,635.91       231.56       231.56       69.47               4,168.50  
*
  North American (Shelter)   mortgage       05-31-2004   05-07-2000   N/A     841       21.34       1,495.56       70.08       70.08       21.03                  
*
  Solutions   office       02/28/2006   02/15/1993   N/A     846       21.69       1,529.05       70.08       70.08       21.03               946.13  
 
  Pepper Terrace (Godduci’s)   restaurant       01-31-2007   01-15-1999   N/A     2,000       21.90       3,649.95       215.78       176.20     Annual             4,781.24  
 
  Sylvans Learning Center   learning ctr.   03-30-2005   09-30-2005   09-08-2000   1-5yr     3,200       18.25       4,866.67       345.25       306.67     Annual                
*
  E-Pro Engineering   engineering       11-30-2005   11-15-2000   N/A     1,098       22.29       2,039.10       91.50       91.50       27.45                  
 
  Voice Box   cell phone   05-01-2005   01-31-2006   01-20-2003   1-3yr     1,000       22.04       1,836.46       107.89       95.83     Annual             1,791.66  
 
  California Nalls   nalls   10-31-2004   10-31-2005   10-31-1997   1-5yr     1,000       24.04       2,003.41       107.89       87.90     Annual             1,583.33  
 
  Mailboxes (UPS)   mall       04/30/2009   07-15-1997   1-5yr     1,818       25.00       3,787.91       196.15       160.11     Annual             2,878.50  
 
  BC Exec. Realty (Remax)   real estate   06-01-2008   02-28-2009   02-13-2002   1-7yr     4,000       21.09       7,030.40       431.57       373.33     Annual                
 
  Smallage Dental   dentist       11-30-2005   11-15-1995   N/A     1,600       19.84       2,645.33       172.63       142.87     Annual             1,933.33  
 
  Golf USA — VACANT   golf-sports       02-28-2001   03-01-1995   N/A     2,000       0.00       0.00       0.00       0.00     Annual     17,819.75       0.00  
 
  Curves For Woman   exercise   09-01-2005   04-30-2006   05-01-2001   1-5yr     1,200       19.96       1,995.69       129.47       112.00     Annual             1,800.00  
 
  EnviroSupply—Vacant   testing equip.   02-01-2006   11-30-2006   11-15-2001   N/A     1,200       0.00                             Annual     9,800.60          
*
  Northeast Cinema signed   office       12/30/2006   09/01/2004   N/A     2,630       0.00     $ 5,125.75     GROSS                                
*
  Murphy Piercey   accountant       02/28/2009   02-17-1999   N/A     490       19.97       815.37       40.83       40.83       12.25               765.62  
 
  Sun Pro   tanning salon   08-01-2006   04-30-2007   05-01-2002   1-5yr     1,600       21.01       2,801.67       172.63       149.33     Annual     0.00          
 
  Total                         44,483               73,071.27       3,736.21       3,438.81       474.08       27,620.35       27,051.71  
Oct 22 2004
                                                                                         
                            Approx   Base                           (Money Owed)
            Call Up   Expiration           Square   Rent   Current   CAM   Tax   Ins   Account   Security
    Lease       Date   Date   Start Date   Options   Feet   Sq Ft   Rent   Billing   Billing   Billing   Receivable   Deposit
Executive Center                                                                        
 
  Strata Bank   banking   09-30-2007   09-30-2008   10-01-1995   2-5yr     5,023       32.11       13,845.82       1,778.51     Quarterly   Annual             10,611.66  
 
  Strata Bank   banking   09-30-2007   09-30-2008   11-01-2001   2-5yr     1,572       28.88       3,783.73       556.60     Quarterly   Annual                
*
  Guida McClafferty   accountant       09-30-2004   10-01-1990   N/A     1,866       21.34       3,318.33       155.50       155.50       46.65               1,348.42  
*
  Advantage Title   title examiner       05-31-2007   06-01-2002   N/A     2,837       22.87       5,406.53       236.42       236.42       70.90               1,666.66  
*
  Logic Vision   engineering   07-01-2007   12/31/2007   12-18-1999   1-3yr     1,156       22.90       2,205.83       96.33       96.33       28.91               2,023.00  
*
  Next Level   consulting   04-30-2008   10-30-2008   11-01-2003   1-5yr     1,797       20.45       3,062.87       236.42       236.42       70.92               3,606.63  
*
  Applebees Northeast   regional office   10-01-2005   08-30-2008   07-01-1998   1-2yr     2,448       22.48       4,586.73       204.00       204.00       61.20                  
 
  Strata Bank   banking   09-30-2007   09-30-2008   06-01-1998   2-5yr     1,700       26.71       3,783.73       601.93     Quarterly   Annual                
*
  Kimberly Clark-Vacant   regional office               N/A     2,550       x       x       x       x       x                  
*
  Kendig Ratcliffe   accountant       12-31-2004   12-18-1999   1-5yr     1,673       21.46       2,991.70       139.92       139.92       41.83               2,927.91  
*
  Gilmore Rees & Carlson   lawyers       10-31-2006   12-01-2001   N/A     7,670       24.58       15,710.33       639.17       639.17       191.74                  
 
  Strata Bank   banking   09-30-2007   09-30-2008   11-01-2001   2-5yr     547       28.88       1,316.54       193.68     Quarterly   Annual                
*
  Jepsky and Sack   lawyers   06-01-2008   02-28-2009   03-01-1988   1-5yr     2,907       21.06       5,100.77       242.25       242.25       72.68                  
*
  Calarese Development Corp   office       01-31-2002   04-01-1988   N/A     1,786       19.94       2,968.03       150.00       150.00       45.00                  
 
  Total                         35,532               68,080.94       5,230.73       2,100.01       629.83       0.00       22,184.28  
 
                                                                                       
    TOTAL NET LEASE SPACE             288,787               429,374       35,443       15,523       1,104       142,998       88,317  
 
*   denotes office tenants (gross rent plus electricity)
 
***   Rent waived until 12/1/2004


 

SCHEDULE II
(REQUIRED REPAIRS)
                 
Property   Required Repair   Amount   Deadline
Pavement Repairs
  Parking area cracks require repairs   $ 3,500     1 year
Masonry Repairs
  Repair masonry control joints   $ 2,500     1 year
Window Repairs
  Re-caulk storefront windows   $ 2,500     1 year
Roof Repairs
  Investigate and repair roof   $ 2,500     1 year
Sprinkler Head Repairs
  Resolve sprinkler head deficiencies
per Massachusetts code
  $ 7,250     1 year
Exposure Protection
  Add Applebee Tenant sprinkler heads   $ 4,500     1 year
Standpipe Separation
  Separate standpipe hose valves from sprinkler system in Buildings J and 1100   $ 13,000     1 year
Exterior Alarms
  Add exterior audible alarms   $ 3,200     1 year
Control Valves
  Add sprinkler control valves   $ 2,000     1 year
Fire Pump Bearings
  Add fire pump bearing   $ 500     1 year
Electrical Panel
  Infrared scan and maintain electric panels   $ 3,000     1 year
Electric Code Violation
  An electrical should verify the fire pump feeder is not tapped   $ 1,500     1 year
Schedule II

 


 

SCHEDULE III
(ORGANIZATIONAL CHART)
Schedule III

 


 

Franklin Village
Organizational Chart
(FLOW CHART)

 


 

SCHEDULE IV
EUROHYPO AG, NEW YORK BRANCH
(Lender)
— and —


 
(Tenant)
SUBORDINATION, NON-DISTURBANCE
AND ATTORNMENT AGREEMENT
Dated:
Location:
Section:
Block:
Lot:
County:
PREPARED BY AND UPON
RECORDATION RETURN TO:
Cadwalader, Wickersham & Taft LLP
100 Maiden Lane
New York, New York 100038
Attention: Michael G. Kavourias, Esq.
Facsimile No.: (212) 504-6666
File No.:
Title No.:

Schedule IV - Page 1


 

SUBORDINATION, NON DISTURBANCE AND ATTORNMENT AGREEMENT
          THIS SUBORDINATION, NON DISTURBANCE AND ATTORNMENT AGREEMENT (this “Agreement”) is made as of the                      day of                                         , 20      by and between EUROHYPO AG, NEW YORK BRANCH, the New York branch of a German banking corporation, having an address at 1114 Avenue of the Americas, Twenty-Ninth Floor, New York, New York 10036 (“Lender”), and ____________________________, having an address at ____________________________ (“Tenant”).
RECITALS:
          A. Lender has made a loan in the approximate amount of $_______ to Landlord (defined below), which Loan is given pursuant to the terms and conditions of that certain Loan Agreement dated ________________, 20__, between Lender and Landlord (the “Loan Agreement”). The Loan is evidenced by a certain Promissory Note dated ________________, 20__, given by Landlord to Lender (the “Note”) and secured by a certain [Mortgage][Deed of Trust] and Security Agreement dated ______________, 20__, given by Landlord to Lender (the “Mortgage”), which encumbers the fee estate of Landlord in certain premises described in Exhibit A attached hereto (the “Property”);
          B. Tenant occupies a portion of the Property under and pursuant to the provisions of a certain lease dated _________________, ____ between _________________, as landlord (“Landlord”) and Tenant, as tenant (the “LEASE”); and
          C. Tenant has agreed to subordinate the Lease to the Mortgage and to the lien thereof and Lender has agreed to grant non-disturbance to Tenant under the Lease on the terms and conditions hereinafter set forth.
AGREEMENT:
          For good and valuable consideration, Tenant and Lender agree as follows:
          1. Subordination. Tenant agrees that the Lease and all of the terms, covenants and provisions thereof and all rights, remedies and options of Tenant thereunder are and shall at all times continue to be subject and subordinate in all respects to the Mortgage and to the lien thereof and all terms, covenants and conditions set forth in the Mortgage and the Loan Agreement including without limitation all renewals, increases, modifications, spreaders, consolidations, replacements and extensions thereof and to all sums secured thereby with the same force and effect as if the Mortgage and Loan Agreement had been executed, delivered and (in the case of the Mortgage) recorded prior to the execution and delivery of the Lease.
          2. Non-Disturbance. Lender agrees that if any action or proceeding is commenced by Lender for the foreclosure of the Mortgage or the sale of the Property, Tenant shall not be named as a party therein unless such joinder shall be required by law, provided, however, such joinder shall not result in the termination of the Lease or disturb the Tenant’s

Schedule IV - Page 2


 

possession or use of the premises demised thereunder, and the sale of the Property in any such action or proceeding and the exercise by Lender of any of its other rights under the Note, the Mortgage and the Loan Agreement shall be made subject to all rights of Tenant under the Lease, provided that at the time of the commencement of any such action or proceeding or at the time of any such sale or exercise of any such other rights (a) the term of the Lease shall have commenced pursuant to the provisions thereof, (b) Tenant shall be in possession of the premises demised under the Lease, (c) the Lease shall be in full force and effect and (d) Tenant shall not be in default under any of the terms, covenants or conditions of the Lease or of this Agreement on Tenant’s part to be observed or performed beyond the expiration of any applicable notice or grace periods.
          3. Attornment. Lender and Tenant agree that upon the conveyance of the Property by reason of the foreclosure of the Mortgage or the acceptance of a deed or assignment in lieu of foreclosure or otherwise, the Lease shall not be terminated or affected thereby (at the option of the transferee of the Property (the “Transferee”) if the conditions set forth in Section 2 above have not been met at the time of such transfer) but shall continue in full force and effect as a direct lease between the Transferee and Tenant upon all of the terms, covenants and conditions set forth in the Lease and in that event, Tenant agrees to attorn to the Transferee and the Transferee shall accept such attornment, provided, however, that the provisions of the Mortgage and the Loan Agreement shall govern with respect to the disposition of any casualty insurance proceeds or condemnation awards and the Transferee shall not be (a) obligated to complete any construction work required to be done by Landlord pursuant to the provisions of the Lease or to reimburse Tenant for any construction work done by Tenant, (b) liable (i) for Landlord’s failure to perform any of its obligations under the Lease which have accrued prior to the date on which the Transferee shall become the owner of the Property, or (ii) for any act or omission of Landlord, whether prior to or after such foreclosure or sale, (c) required to make any repairs to the Property or to the premises demised under the Lease required as a result of fire, or other casualty or by reason of condemnation unless the Transferee shall be obligated under the Lease to make such repairs and shall have received sufficient casualty insurance proceeds or condemnation awards to finance the completion of such repairs, (d) required to make any capital improvements to the Property or to the premises demised under the Lease which Landlord may have agreed to make, but had not completed, or to perform or provide any services not related to possession or quiet enjoyment of the premises demised under the Lease, (e) subject to any offsets, defenses, abatements or counterclaims which shall have accrued to Tenant against Landlord prior to the date upon which the Transferee shall become the owner of the Property, (f) liable for the return of rental security deposits, if any, paid by Tenant to Landlord in accordance with the Lease unless such sums are actually received by the Transferee, (g) bound by any payment of rents, additional rents or other sums which Tenant may have paid more than one (1) month in advance to any prior Landlord unless (i) such sums are actually received by the Transferee or (ii) such prepayment shall have been expressly approved of by the Transferee, (h) bound to make any payment to Tenant which was required under the Lease, or otherwise, to be made prior to the time the Transferee succeeded to Landlord’s interest, (i) bound by any agreement amending, modifying or terminating the Lease made without the Lender’s prior written consent prior to the time the Transferee succeeded to Landlord’s interest or (j) bound by any assignment of the Lease or sublease of the Property, or any portion thereof, made prior to the time the Transferee succeeded to Landlord’s interest other than if pursuant to the provisions of the Lease.

Schedule IV - Page 3


 

          4. Notice to Tenant. After notice is given to Tenant by Lender that the Landlord is in default under the Note and the Mortgage and that the rentals under the Lease should be paid to Lender pursuant to the terms of the assignment of leases and rents executed and delivered by Landlord to Lender in connection therewith, Tenant shall thereafter pay to Lender or as directed by the Lender, all rentals and all other monies due or to become due to Landlord under the Lease and Landlord hereby expressly authorizes Tenant to make such payments to Lender and hereby releases and discharges Tenant from any liability to Landlord on account of any such payments.
          5. Lender’s Consent. Tenant shall not, without obtaining the prior written consent of Lender, (a) enter into any agreement amending, modifying or terminating the Lease, (b) prepay any of the rents, additional rents or other sums due under the Lease for more than one (1) month in advance of the due dates thereof, (c) voluntarily surrender the premises demised under the Lease or terminate the Lease without cause or shorten the term thereof, or (d) assign the Lease or sublet the premises demised under the Lease or any part thereof other than pursuant to the provisions of the Lease; and any such amendment, modification, termination, prepayment, voluntary surrender, assignment or subletting, without Lender’s prior consent, shall not be binding upon Lender.
          6. Lender to Receive Notices. Tenant shall provide Lender with copies of all written notices sent to Landlord pursuant to the Lease simultaneously with the transmission of such notices to the Landlord. Tenant shall notify Lender of any default by Landlord under the Lease which would entitle Tenant to cancel the Lease or to an abatement of the rents, additional rents or other sums payable thereunder, and agrees that, notwithstanding any provisions of the Lease to the contrary, no notice of cancellation thereof or of such an abatement shall be effective unless Lender shall have received notice of default giving rise to such cancellation or abatement and shall have failed within sixty (60) days after receipt of such notice to cure such default, or if such default cannot be cured within sixty (60) days, shall have failed within sixty (60) days after receipt of such notice to commence and thereafter diligently pursue any action necessary to cure such default.
          7. Notices. All notices or other written communications hereunder shall be deemed to have been properly given (i) upon delivery, if delivered in person or by facsimile transmission with receipt acknowledged by the recipient thereof and confirmed by telephone by sender, (ii) one (1) Business Day (hereinafter defined) after having been deposited for overnight delivery with any reputable overnight courier service, or (iii) three (3) Business Days after having been deposited in any post office or mail depository regularly maintained by the U.S. Postal Service and sent by registered or certified mail, postage prepaid, return receipt requested, addressed as follows:
          If to Tenant:
_____________________________
_____________________________
_____________________________
Attention: ____________________
Facsimile No.: __________________

Schedule IV - Page 4


 

          If to Lender:
Eurohypo AG, New York Branch
1114 Avenue of the Americas
Twenty-Ninth Floor
New York, New York 10036
Attention: Head of Portfolio Operations
Facsimile No.: (212) 479-5800
          With a copy to:
Eurohypo AG, New York Branch
1114 Avenue of the Americas
Twenty-Ninth Floor
New York, New York 10036
Attention: Legal Director
Facsimile No.: (212) 479-5800
          With a copy to:
Cadwalader, Wickersham & Taft LLP
100 Maiden Lane
New York, New York 100038
Attention: Michael G. Kavourias, Esq.
Facsimile No.: (212) 504-6666
or addressed as such party may from time to time designate by written notice to the other parties. For purposes of this Section, the term “Business Day” shall mean a day on which commercial banks are not authorized or required by law to close in New York, New York.
          Either party by notice to the other may designate additional or different addresses for subsequent notices or communications.
          8. Joint and Several Liability. If Tenant consists of more than one person, the obligations and liabilities of each such person hereunder shall be joint and several. This Agreement shall be binding upon and inure to the benefit of Lender and Tenant and their respective successors and assigns.
          9. Definitions. The term “Lender” as used herein shall include the successors and assigns of Lender and any person, party or entity which shall become the owner of the Property by reason of a foreclosure of the Mortgage or the acceptance of a deed or assignment in lieu of foreclosure or otherwise. The term “Landlord” as used herein shall mean and include the present landlord under the Lease and such landlord’s predecessors and successors in interest under the Lease, but shall not mean or include Lender. The term “Property” as used herein shall mean the Property, the improvements now or hereafter located thereon and the estates therein encumbered by the Mortgage.

Schedule IV - Page 5


 

          10. No Oral Modifications. This Agreement may not be modified in any manner or terminated except by an instrument in writing executed by the parties hereto.
          11. Governing Law. This Agreement shall be deemed to be a contract entered into pursuant to the laws of the State where the Property is located and shall in all respects be governed, construed, applied and enforced in accordance with the laws of the State where the Property is located.
          12. Inapplicable Provisions. If any term, covenant or condition of this Agreement is held to be invalid, illegal or unenforceable in any respect, this Agreement shall be construed without such provision.
          13. Duplicate Originals; Counterparts. This Agreement may be executed in any number of duplicate originals and each duplicate original shall be deemed to be an original. This Agreement may be executed in several counterparts, each of which counterparts shall be deemed an original instrument and all of which together shall constitute a single Agreement. The failure of any party hereto to execute this Agreement, or any counterpart hereof, shall not relieve the other signatories from their obligations hereunder.
          14. Number and Gender. Whenever the context may require, any pronouns used herein shall include the corresponding masculine, feminine or neuter forms, and the singular form of nouns and pronouns shall include the plural and vice versa.
          15. Transfer of Loan. Lender may sell, transfer and deliver the Note and assign the Mortgage, this Agreement and the other documents executed in connection therewith to one or more investors in the secondary mortgage market (“Investors”). In connection with such sale, Lender may retain or assign responsibility for servicing the loan, including the Note, the Mortgage, this Agreement and the other documents executed in connection therewith, or may delegate some or all of such responsibility and/or obligations to a servicer including, but not limited to, any subservicer or master servicer, on behalf of the Investors. All references to Lender herein shall refer to and include any such servicer to the extent applicable.
          16. Further Acts. Tenant will, at the cost of Tenant, and without expense to Lender, do, execute, acknowledge and deliver all and every such further acts and assurances as Lender shall, from time to time, require, for the better assuring and confirming unto Lender the property and rights hereby intended now or hereafter so to be, or for carrying out the intention or facilitating the performance of the terms of this Agreement or for filing, registering or recording this Agreement, or for complying with all applicable laws.
          17. Limitations on Lender’s Liability. Tenant acknowledges that Lender is obligated only to Landlord to make the Loan upon the terms and subject to the conditions set forth in the Loan Agreement. In no event shall Lender or any purchaser of the Property at foreclosure sale or any grantee of the Property named in a deed-in-lieu of foreclosure, nor any heir, legal representative, successor, or assignee of Lender or any such purchaser or grantee (collectively the Lender, such purchaser, grantee, heir, legal representative, successor or assignee, the “Subsequent Landlord”) have any personal liability for the obligations of Landlord under the Lease and should the Subsequent Landlord succeed to the interests of the

Schedule IV - Page 6


 

Landlord under the Lease, Tenant shall look only to the estate and property of any such Subsequent Landlord in the Property for the satisfaction of Tenant’s remedies for the collection of a judgment (or other judicial process) requiring the payment of money in the event of any default by any Subsequent Landlord as landlord under the Lease, and no other property or assets of any Subsequent Landlord shall be subject to levy, execution or other enforcement procedure for the satisfaction of Tenant’s remedies under or with respect to the Lease; provided, however, that the Tenant may exercise any other right or remedy provided thereby or by law in the event of any failure by Subsequent Landlord to perform any such material obligation.

Schedule IV - Page 7


 

          IN WITNESS WHEREOF, Lender and Tenant have duly executed this Agreement as of the date first above written.
         
  LENDER:

EUROHYPO AG, NEW YORK BRANCH, the New York branch of a German banking corporation
 
 
  By:   /s/ Bryan Donohoe    
    Name:   Bryan Donohoe   
    Title:   Vice President   
 
     
  By:   /s/ Jonathan Hirshey    
    Name:   Jonathan Hirshey   
    Title:   Vice President   
 

 


 

         
     
By:        
  Name:        
  Title:        
 

Schedule IV - Page 9


 

ACKNOWLEDGMENTS
[INSERT STATE SPECIFIC ACKNOWLEDGMENT]

Schedule IV - Page 10


 

EXHIBIT A
LEGAL DESCRIPTION

Schedule IV - Page 11


 

SCHEDULE V
(DESCRIPTION OF REA)
Intentionally Deleted
Schedule. V

 


 

SCHEDULE VI
(DESCRIPTION/DIAGRAM OF RELEASE PARCEL)

 


 

(GRAPHIC)